Planck 2015 results
Free Access

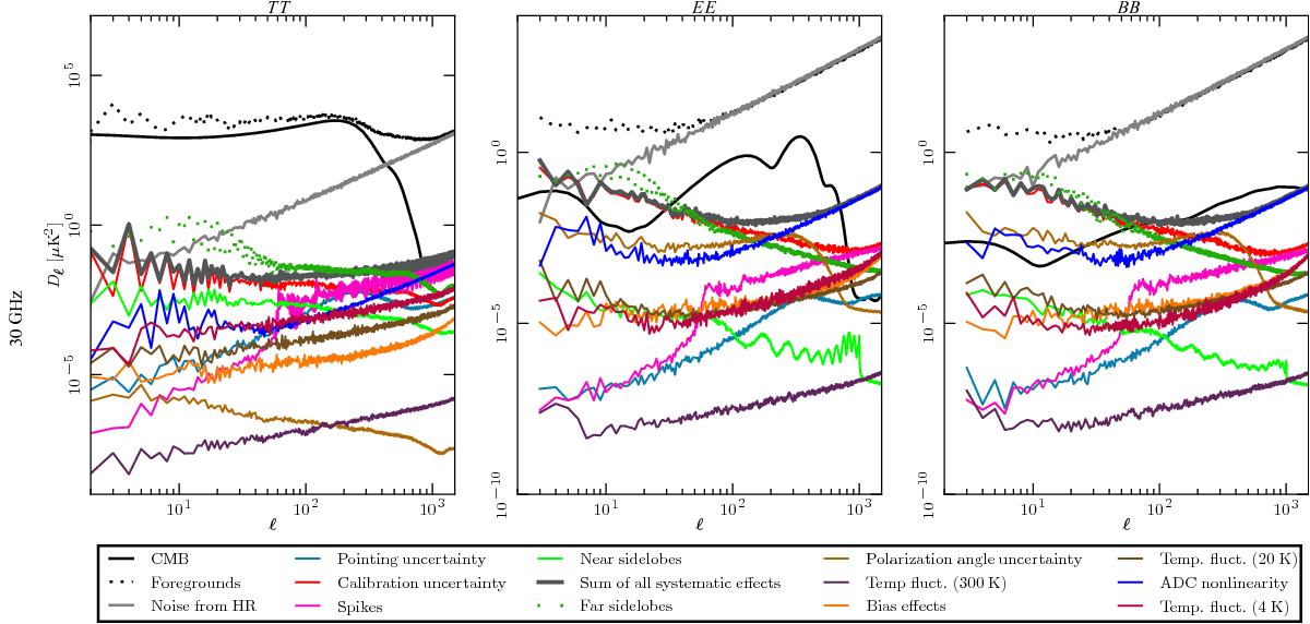
Fig. 24

image

Angular power spectra of the various systematic effects at 30GHz, compared to the CMB and foreground temperature and polarization spectra and to the instrumental noise from half-ring (HR) difference maps. The CMB TT and EE spectra are best fits to the Planck cosmological parameters (see Figs. 9 and 10 in Planck Collaboration I 2016) filtered by the LFI window functions. The example CMB B-mode spectrum is based on Planck-derived cosmological parameters and assumes a tensor-to-scalar ratio r = 0.1, a tensor spectral index nT = 0, and no beam-filtering. The thick dark-grey line represents the total contribution. The dotted dark-green line is the contribution from the far sidelobes that has been removed from the data and is therefore not considered in the total.

Current usage metrics show cumulative count of Article Views (full-text article views including HTML views, PDF and ePub downloads, according to the available data) and Abstracts Views on Vision4Press platform.

Data correspond to usage on the plateform after 2015. The current usage metrics is available 48-96 hours after online publication and is updated daily on week days.

Initial download of the metrics may take a while.