Planck 2015 results
Free Access

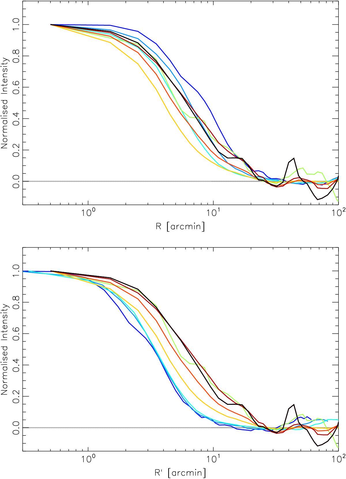
Fig. 10

image

Top: observed radial profile of the stacked signal toward galaxy clusters at the native angular resolution at 70 GHz (in dark blue), 100 GHz (blue), 143 GHz (light blue), 217 GHz (green), 353 GHz (orange), 545 GHz (red), 857 GHz (dark red), and 100 μm (black). Bottom: same as top panel, but as a function of the rescaled radius R′ = R(ℬν/ ℬ857).

This figure is made of several images, please see below:

Current usage metrics show cumulative count of Article Views (full-text article views including HTML views, PDF and ePub downloads, according to the available data) and Abstracts Views on Vision4Press platform.

Data correspond to usage on the plateform after 2015. The current usage metrics is available 48-96 hours after online publication and is updated daily on week days.

Initial download of the metrics may take a while.