Planck 2015 results
Free Access

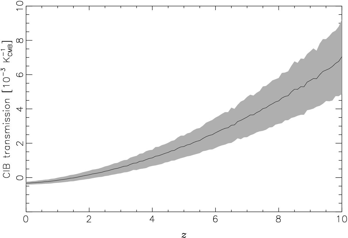
Fig. 13

image

Predicted CIB transmission in the tSZ y-map for a hypothetical CIB emission of 1 KCMB at 545 GHz and at redshift z. The shaded area represents the 68% confidence region, for uncertainties of ΔTd = 2 K and Δβd = 0.1 in the modified blackbody parameters of the hypothetical CIB emission.

Current usage metrics show cumulative count of Article Views (full-text article views including HTML views, PDF and ePub downloads, according to the available data) and Abstracts Views on Vision4Press platform.

Data correspond to usage on the plateform after 2015. The current usage metrics is available 48-96 hours after online publication and is updated daily on week days.

Initial download of the metrics may take a while.