Planck 2015 results
Free Access

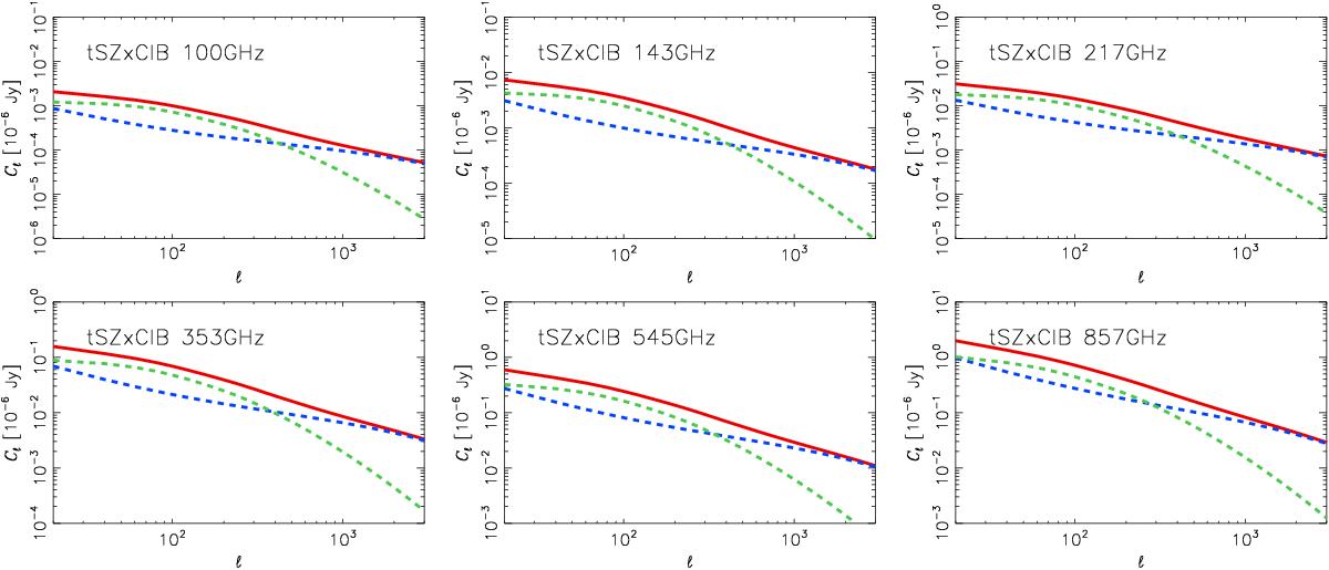
Fig. 2

image

Predicted tSZ-CIB cross-correlation from 100 to 857 GHz for the fiducial model, where the tSZ signal is expressed in Compton parameter units. The blue dashed line presents the prediction for the 1-halo term, the green dashed line for the 2-halo term and the red solid line for the total model.

Current usage metrics show cumulative count of Article Views (full-text article views including HTML views, PDF and ePub downloads, according to the available data) and Abstracts Views on Vision4Press platform.

Data correspond to usage on the plateform after 2015. The current usage metrics is available 48-96 hours after online publication and is updated daily on week days.

Initial download of the metrics may take a while.