Free Access

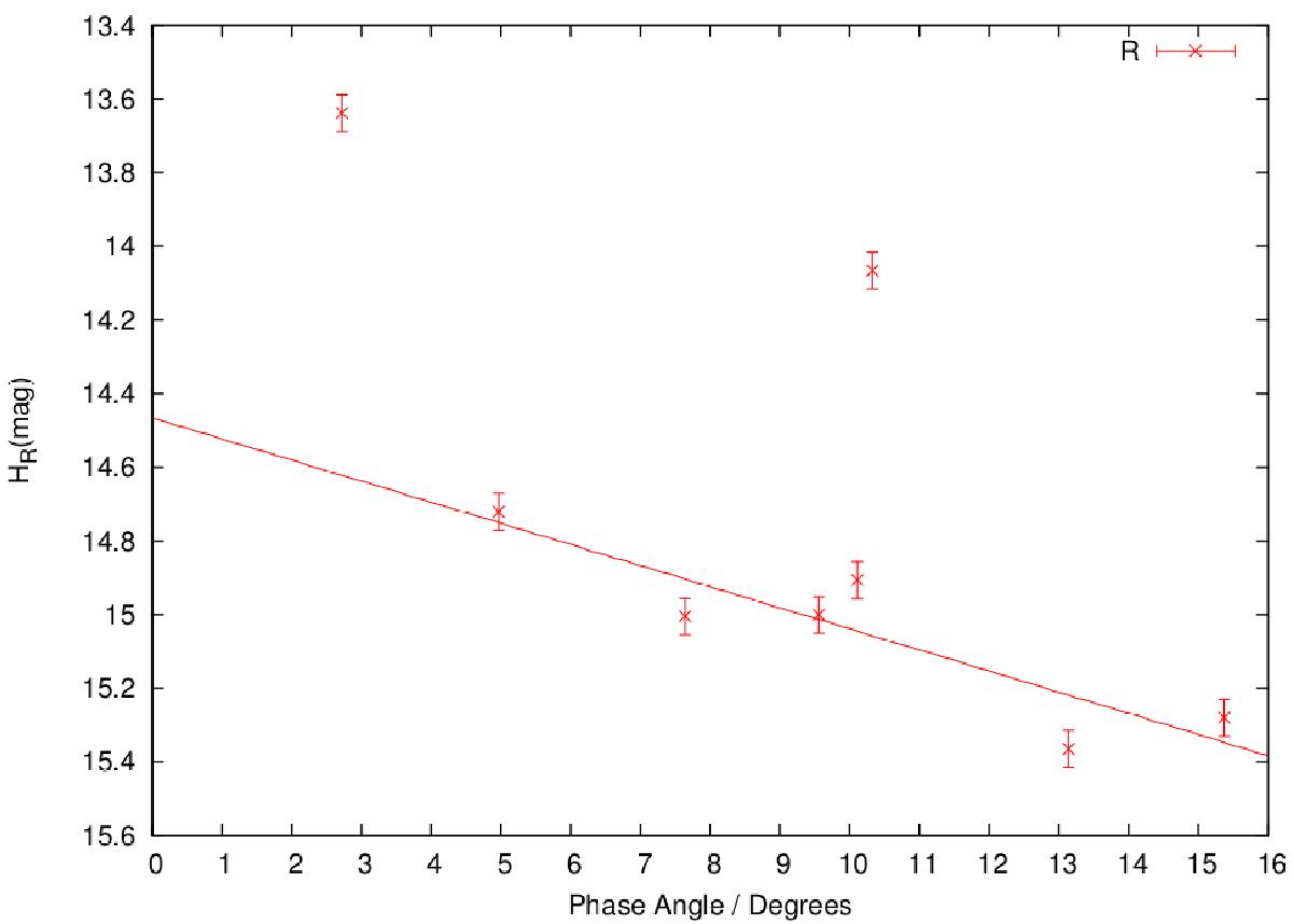
Fig. 9

image

Magnitude corrected for the Sun and Earth distances of comet 67P as a function of phase angle. We note that the points at phase angles 2.7° and 10.3° are contaminated by background sources and are ignored.

Current usage metrics show cumulative count of Article Views (full-text article views including HTML views, PDF and ePub downloads, according to the available data) and Abstracts Views on Vision4Press platform.

Data correspond to usage on the plateform after 2015. The current usage metrics is available 48-96 hours after online publication and is updated daily on week days.

Initial download of the metrics may take a while.