Free Access

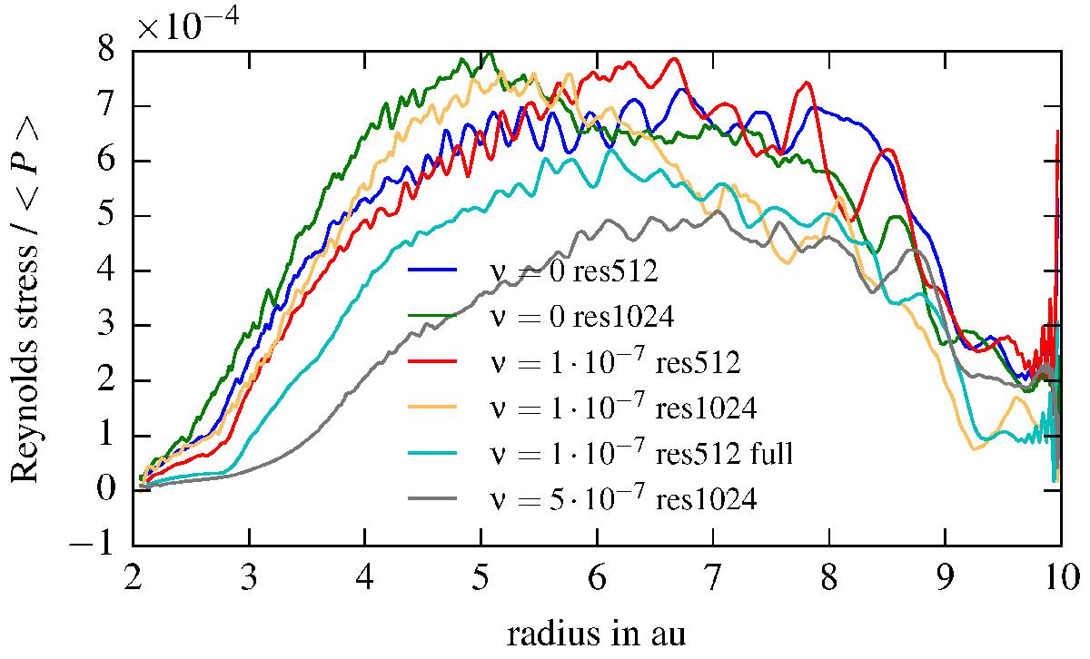
Fig. 3

image

Comparison of the radial α(r) obtained for different isothermal simulations used in this paper. Values are averaged from 1000 to 1800 yr. All simulations except “full” are for one eighth of a complete disc. The specified resolution refers to the number of radial grid cells in the simulations, where “res1024” denotes the resolution of our fiducial model and “res512” has half the resolution in all spatial directions. In addition to the inviscid fiducial model we ran also simulation with non-zero viscosity, and the labels refer to the dimensionless value of the constant kinematic viscosity coefficient ν.

Current usage metrics show cumulative count of Article Views (full-text article views including HTML views, PDF and ePub downloads, according to the available data) and Abstracts Views on Vision4Press platform.

Data correspond to usage on the plateform after 2015. The current usage metrics is available 48-96 hours after online publication and is updated daily on week days.

Initial download of the metrics may take a while.