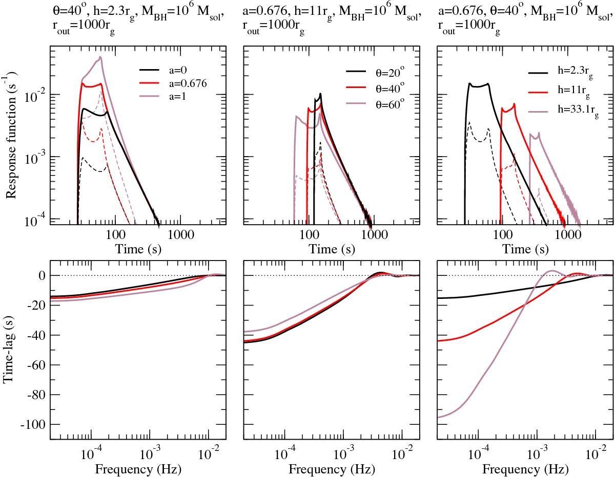
Fig. B.1

Dependence of the 5−7 keV (top panels; continuous lines) and 2−4 keV (top panels; dashed lines) disc response functions on a (top left panel), θ (top middle panel) and h (top right panel), along with the corresponding time-lag spectra (bottom panels). The response functions have been normalised such that their area is equal to the observed ratio of reprocessed-to-continuum photons.
Current usage metrics show cumulative count of Article Views (full-text article views including HTML views, PDF and ePub downloads, according to the available data) and Abstracts Views on Vision4Press platform.
Data correspond to usage on the plateform after 2015. The current usage metrics is available 48-96 hours after online publication and is updated daily on week days.
Initial download of the metrics may take a while.