Free Access

Fig. 5

image

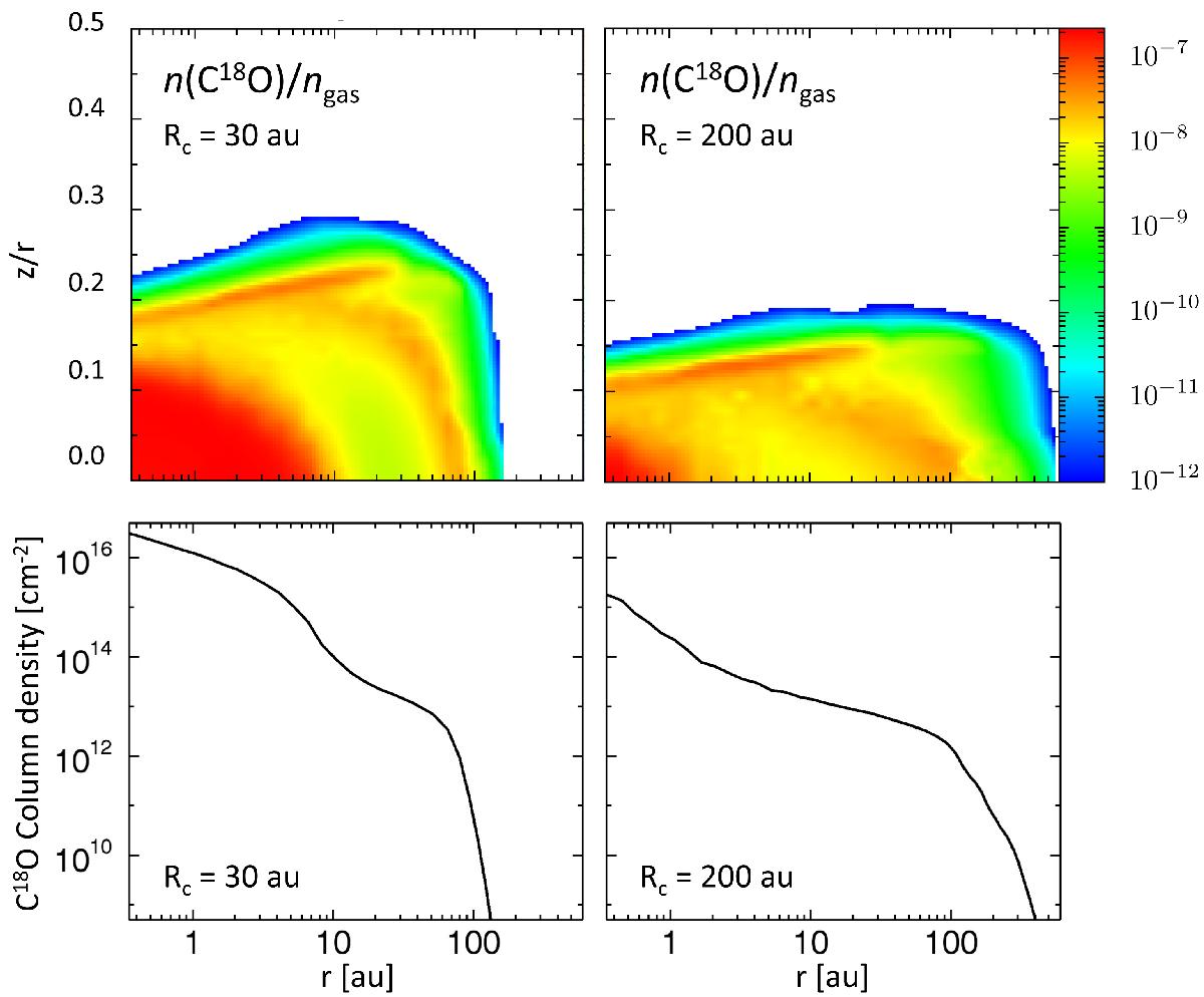
Abundances of C18O (top panels) and column densities (lower panels) for models with different critical radii: Rc = 30 au in the left panels and Rc = 200 au in the right panels. For these particular T Tauri models the disk parameters are fixed to: Mdisk = 10-5 M, γ = 0.8, hc = 0.1, and ψ = 0.1.

Current usage metrics show cumulative count of Article Views (full-text article views including HTML views, PDF and ePub downloads, according to the available data) and Abstracts Views on Vision4Press platform.

Data correspond to usage on the plateform after 2015. The current usage metrics is available 48-96 hours after online publication and is updated daily on week days.

Initial download of the metrics may take a while.