Press Release
Free Access

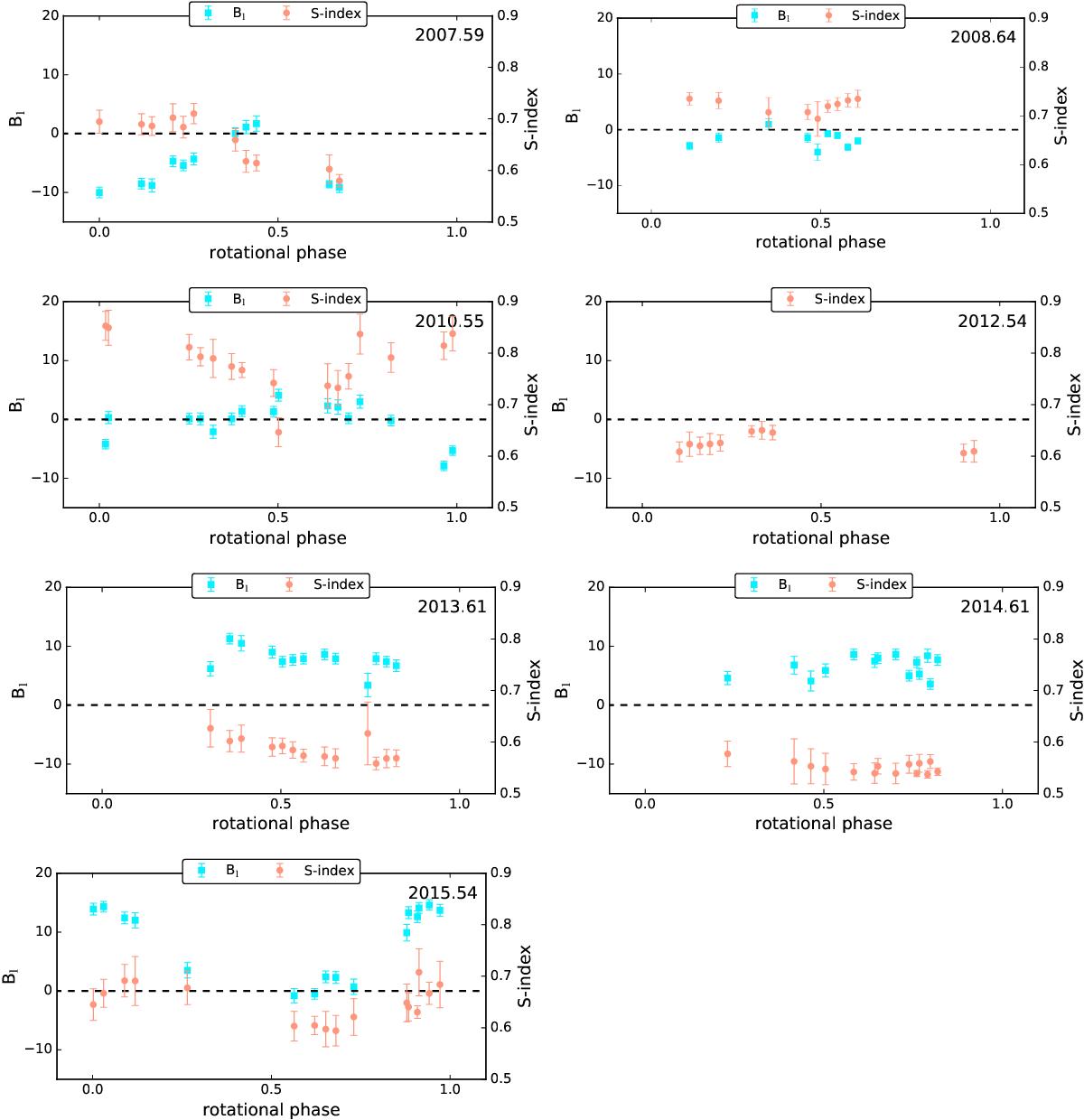
Fig. 1

image

Variability of the longitudinal field (Bl) (left y-axis) and S-index (right y-axis) as a function of rotational phase for each epoch (2007.59, 2008.64, 2010.55, 2012.54, 2013.61, 2014.61 and 2015.54). For epoch 2012.54 only the S-index is plotted, as the Stokes V observations were not available (see Sect. 3). The subplots are all on the same scale for easier comparison between epochs, and the dashed line represents Bl = 0. The scale was chosen based on the minimum and maximum value.

This figure is made of several images, please see below:

Current usage metrics show cumulative count of Article Views (full-text article views including HTML views, PDF and ePub downloads, according to the available data) and Abstracts Views on Vision4Press platform.

Data correspond to usage on the plateform after 2015. The current usage metrics is available 48-96 hours after online publication and is updated daily on week days.

Initial download of the metrics may take a while.