Press Release
Free Access

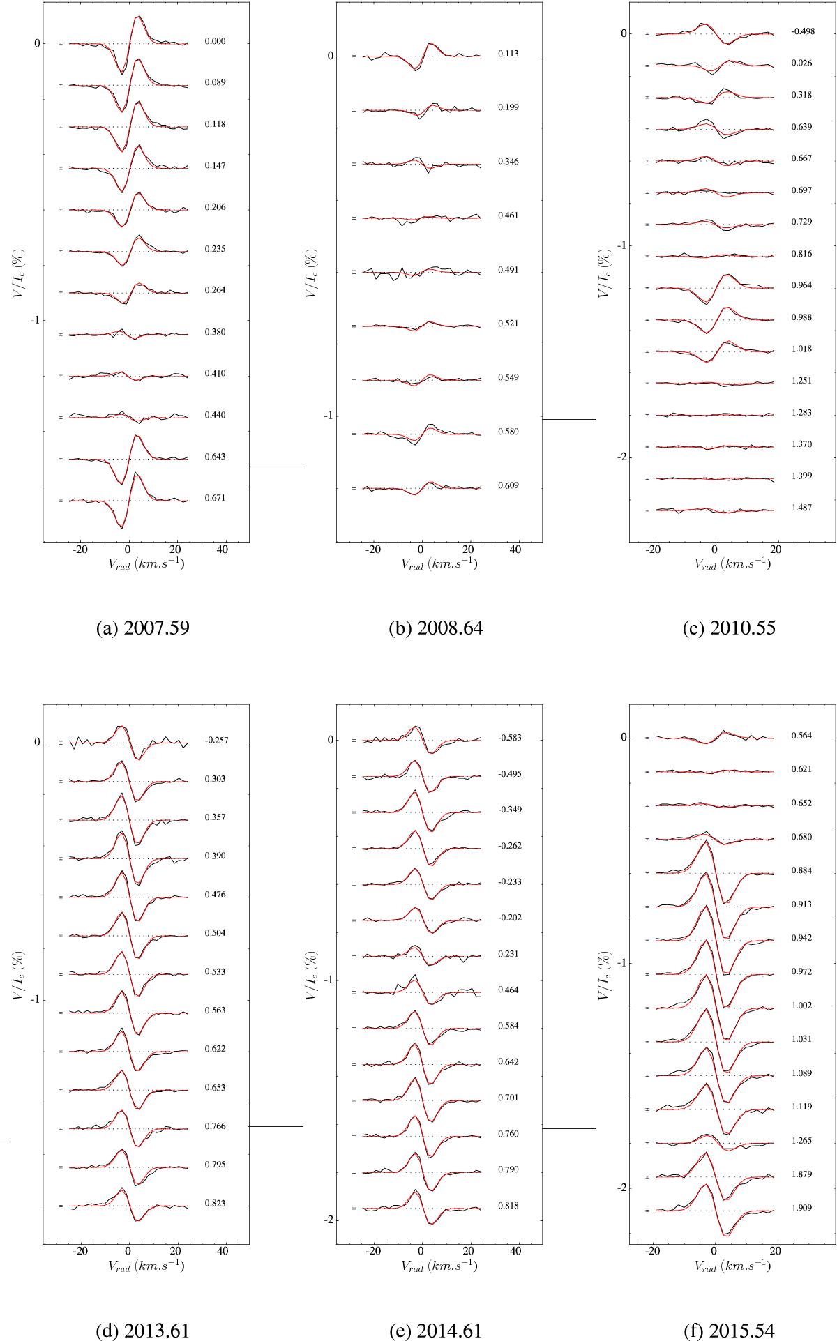
Fig. 6

image

Time series of LSD Stokes V spectra of 61 Cyg A, where top row (from left to right) represents epochs 2007.59, 2008.64, and 2010.55, and the bottom row shows (left to right) epochs 2013.61, 2014.61, and 2015.54. The observed spectra is shown in black and the corresponding fit is shown in red. For each observed spectra, the phase of the rotational cycle is shown on the right, and on the left side of each plot 1σ error is shown. For the purpose of clarity successive Stokes V profiles are shifted vertically and the scale is expanded by a factor of two.

Current usage metrics show cumulative count of Article Views (full-text article views including HTML views, PDF and ePub downloads, according to the available data) and Abstracts Views on Vision4Press platform.

Data correspond to usage on the plateform after 2015. The current usage metrics is available 48-96 hours after online publication and is updated daily on week days.

Initial download of the metrics may take a while.