Free Access

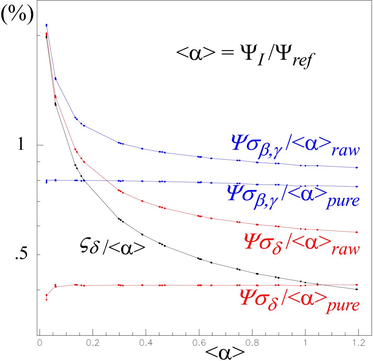
Fig. 17

image

Pure noise ςδ is extracted by subtracting the raw reference image (with its relative weight) from all other raw images. Then pure WP signals Ψσβ, Ψσγ, and Ψσδ are extracted from raw images by subtracting noise ςδ. Check: σβ,σγ, and σδ are constant and σβ = σγ (superimposed).

Current usage metrics show cumulative count of Article Views (full-text article views including HTML views, PDF and ePub downloads, according to the available data) and Abstracts Views on Vision4Press platform.

Data correspond to usage on the plateform after 2015. The current usage metrics is available 48-96 hours after online publication and is updated daily on week days.

Initial download of the metrics may take a while.