Free Access

Fig. 1

image

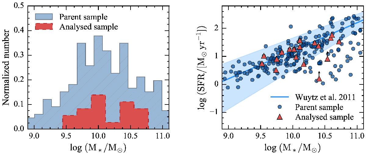
Left: stellar-mass distribution of our final sample of 18 galaxies (red histogram) compared to that of the parent sample (cyan dashed histogram). The number of galaxies is normalized for a better visualization. Right: main sequence of galaxies. Blue dots represent the parent sample, and red triangles indicate our final kinematical sample. Symbols with arrows denote lower limits to SFR measures (see Sect. 2). Shadowed regions indicate the 68% confidence contours of the main-sequence fit by Wuyts et al. (2011) (solid cyan line) at 0.5 <z< 1.5.

Current usage metrics show cumulative count of Article Views (full-text article views including HTML views, PDF and ePub downloads, according to the available data) and Abstracts Views on Vision4Press platform.

Data correspond to usage on the plateform after 2015. The current usage metrics is available 48-96 hours after online publication and is updated daily on week days.

Initial download of the metrics may take a while.