Free Access

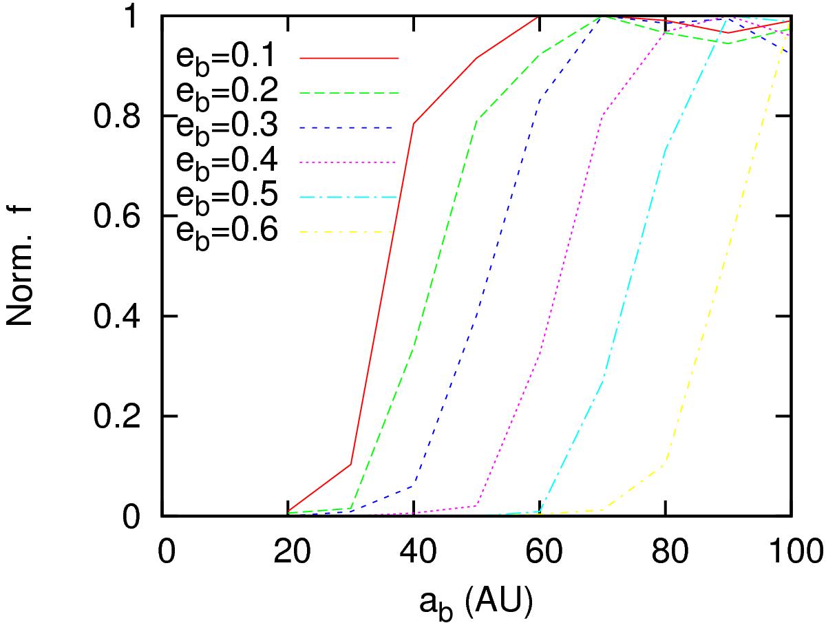
Fig. 12

image

Normalized curves showing the number of stable orbits for different values of aB and eB. The sudden step in the number of cases marked the onset of a significant stable zone for that binary parameters. The normalization is performed to the maximum number of stable cases. Since the models run at the same pace, we expect that f measures the size of the stable region which saturates when the rate at which new stable cases are found is constant (i.e. the binary configuration presents a large stable zone for two planets).

Current usage metrics show cumulative count of Article Views (full-text article views including HTML views, PDF and ePub downloads, according to the available data) and Abstracts Views on Vision4Press platform.

Data correspond to usage on the plateform after 2015. The current usage metrics is available 48-96 hours after online publication and is updated daily on week days.

Initial download of the metrics may take a while.