Free Access

Fig. 2

image

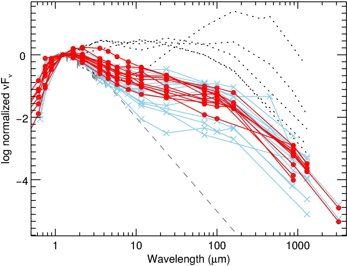
Dereddened SEDs normalized at J band. Red curves show the SEDs of the original sample, and blue lines show the literature SEDs. Targets that were excluded from further discussion (see Sect. 3.1) are shown with dotted lines. For comparison, the expected photospheric emission of an M5 star is shown in dashed gray (Cushing et al. 2005).

Current usage metrics show cumulative count of Article Views (full-text article views including HTML views, PDF and ePub downloads, according to the available data) and Abstracts Views on Vision4Press platform.

Data correspond to usage on the plateform after 2015. The current usage metrics is available 48-96 hours after online publication and is updated daily on week days.

Initial download of the metrics may take a while.