Free Access

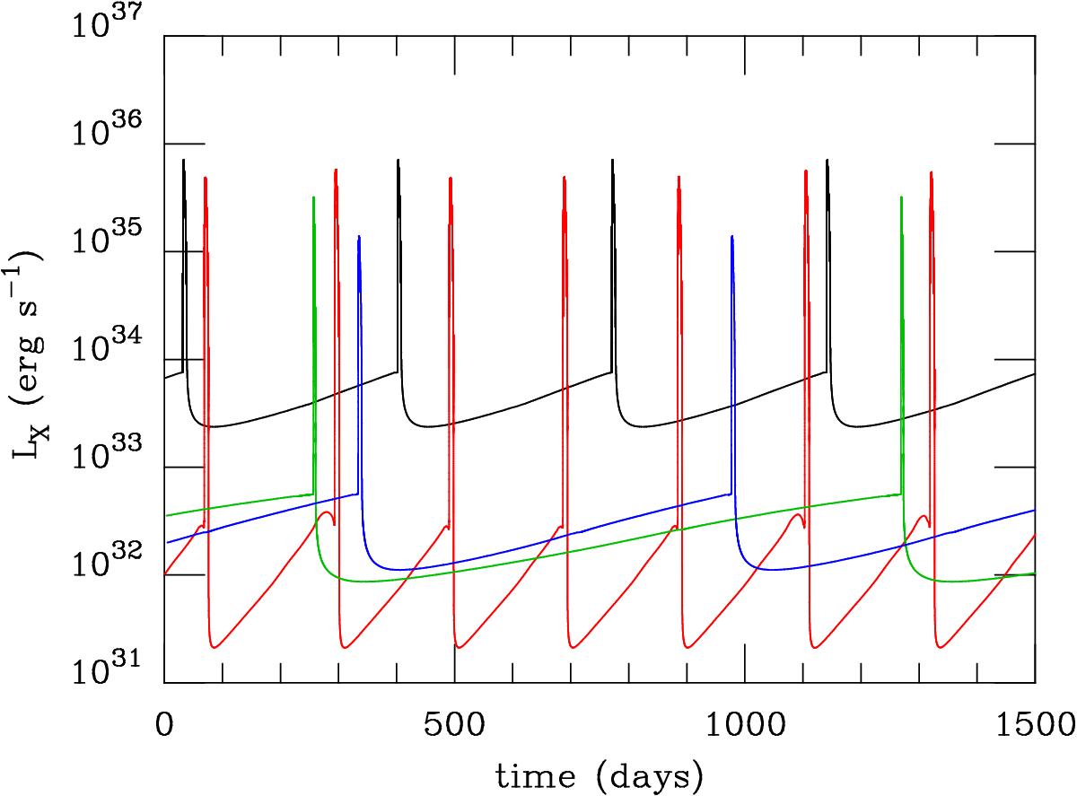
Fig. 4

image

Light curves for low mass-transfer rates. For the black and red curves, tr = 1014 g s-1, the orbital parameters and the viscosity being identical to those of Fig. 2. The black line shows the case of a truncated disc with an inner disc radius given by Eq. (7). The red curve corresponds to a fixed inner radius of 2 × 108 cm. The green and blue curves correspond to tr = 1013 g s-1, the inner radius being equal to 0.15 times the value given by Eq. (7). The viscosity parameters are αh = 0.2. αc = 0.01 (green curve) and αh = 0.1. αc = 0.01 (blue curve).

Current usage metrics show cumulative count of Article Views (full-text article views including HTML views, PDF and ePub downloads, according to the available data) and Abstracts Views on Vision4Press platform.

Data correspond to usage on the plateform after 2015. The current usage metrics is available 48-96 hours after online publication and is updated daily on week days.

Initial download of the metrics may take a while.