Free Access

Fig. 8

image

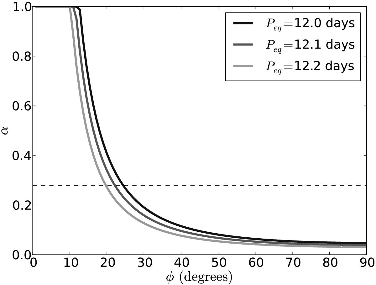
Estimation of the differential rotation α of the star, assuming spots with rotational period Psp ≃ 12.6 days for latitudes between and 90°. The dashed line indicates the value of the differential rotation of the Sun.

Current usage metrics show cumulative count of Article Views (full-text article views including HTML views, PDF and ePub downloads, according to the available data) and Abstracts Views on Vision4Press platform.

Data correspond to usage on the plateform after 2015. The current usage metrics is available 48-96 hours after online publication and is updated daily on week days.

Initial download of the metrics may take a while.