Free Access

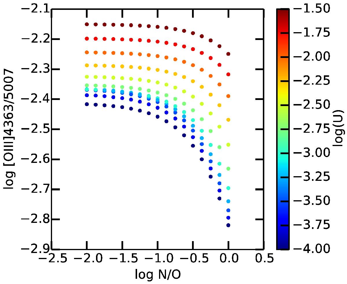
Fig. 6

image

Electron temperature diagnostic line ratios [O iii]λ4363/5007 vs. N/O. The color bar indicates . The models are extracted from 3MdB and correspond to the HII_CHIm models of 1 Myr H ii regions with log(O/H) = –3.5.

Current usage metrics show cumulative count of Article Views (full-text article views including HTML views, PDF and ePub downloads, according to the available data) and Abstracts Views on Vision4Press platform.

Data correspond to usage on the plateform after 2015. The current usage metrics is available 48-96 hours after online publication and is updated daily on week days.

Initial download of the metrics may take a while.