Open Access

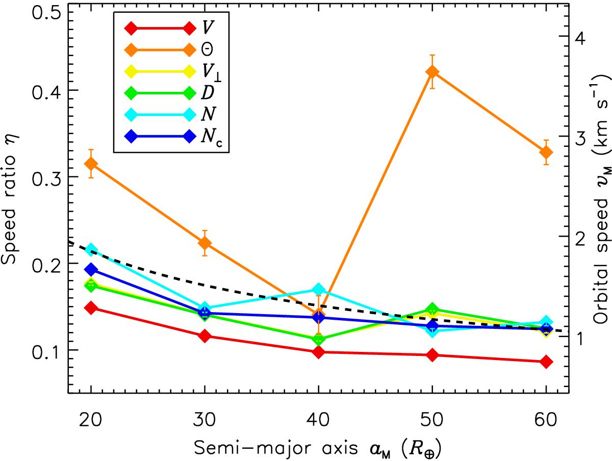
Fig. 13

image

Speed ratios and lunar orbital speeds reproduced from fit leading/trailing asymmetry amplitudes of impact speed, incidence angle, normal speed, crater diameter, impact density, and crater density (squares connected by solid lines in red, orange, yellow, green, cyan, and blue) in comparison with predictions (black dashed curve).

Current usage metrics show cumulative count of Article Views (full-text article views including HTML views, PDF and ePub downloads, according to the available data) and Abstracts Views on Vision4Press platform.

Data correspond to usage on the plateform after 2015. The current usage metrics is available 48-96 hours after online publication and is updated daily on week days.

Initial download of the metrics may take a while.