Open Access

Fig. 7

image

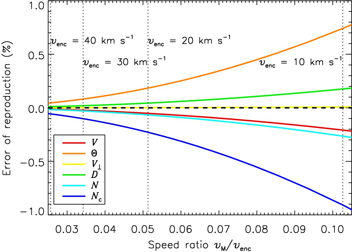
Reproduction error of the speed ratio η. For a given exact η, after fitting the approximate formulations to the exact cratering distribution (assuming αp = 1.75) and using the theoretical relations between asymmetry amplitude and speed ratio to reproduce the latter with the fits of the former, the reproduction error is calculated as the relative difference between the reproduced and the exact η. The reproduction errors that the spatial distributions of V, Θ, V, D, N, and Nc lead to (red, orange, yellow, green, cyan, and blue curves) are compared. Where venc = 10, 20, 30, and 40 km s-1 on condition vM = 1.0 km s-1 are indicated (vertical dot lines).

Current usage metrics show cumulative count of Article Views (full-text article views including HTML views, PDF and ePub downloads, according to the available data) and Abstracts Views on Vision4Press platform.

Data correspond to usage on the plateform after 2015. The current usage metrics is available 48-96 hours after online publication and is updated daily on week days.

Initial download of the metrics may take a while.