Free Access

Fig. 5

image

Download original image

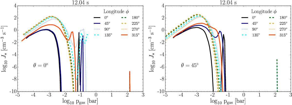
Top: 1D nucleation rate log 10J [cm-3 s-1] trajectories ~12 s into the simulation for latitudes θ = 0° (left), 45° (right). The initial, most efficient nucleation regions occur at pgas< 100 mbar for all atmospheric profiles. Dayside equatorial profiles at φ = 0°, 45° have no nucleation occurring from ~10100 mbar, where the gas temperature is too high for the nucleation process. The greatest magnitude of nucleation of seed particles is at nightside, mid-high latitude regions at ~1 mbar.

Current usage metrics show cumulative count of Article Views (full-text article views including HTML views, PDF and ePub downloads, according to the available data) and Abstracts Views on Vision4Press platform.

Data correspond to usage on the plateform after 2015. The current usage metrics is available 48-96 hours after online publication and is updated daily on week days.

Initial download of the metrics may take a while.