Free Access

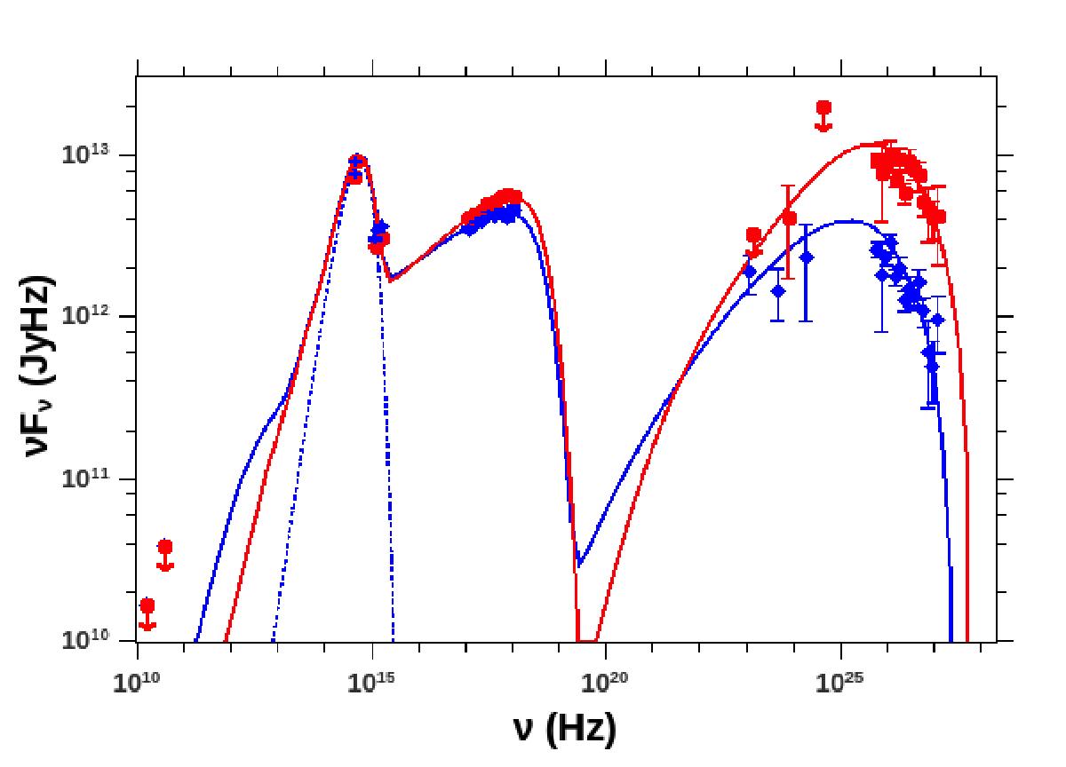
Fig. 10

image

Spectral energy distribution of Mrk 501 for the low state (MJD 54 936–54 951; blue squares) and high state (MJD 54 952–55; red circles) of the 3-week period. The SSC model representative for low (blue solid line) and high (red solid line) states is also shown. The blue dotted line corresponds to the optical emission of the host galaxy.

Current usage metrics show cumulative count of Article Views (full-text article views including HTML views, PDF and ePub downloads, according to the available data) and Abstracts Views on Vision4Press platform.

Data correspond to usage on the plateform after 2015. The current usage metrics is available 48-96 hours after online publication and is updated daily on week days.

Initial download of the metrics may take a while.