Free Access

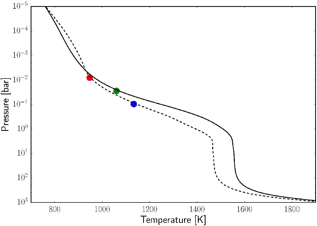
Fig. 17

image

Location of the peak emission in the 3.6 μm Spitzer band for the HD 189733b Kzz = 1011 cm2 s-1 model with the EQ calculation (blue), NEQ calculation (red) and CNEQ calculation (green).

Current usage metrics show cumulative count of Article Views (full-text article views including HTML views, PDF and ePub downloads, according to the available data) and Abstracts Views on Vision4Press platform.

Data correspond to usage on the plateform after 2015. The current usage metrics is available 48-96 hours after online publication and is updated daily on week days.

Initial download of the metrics may take a while.