Free Access

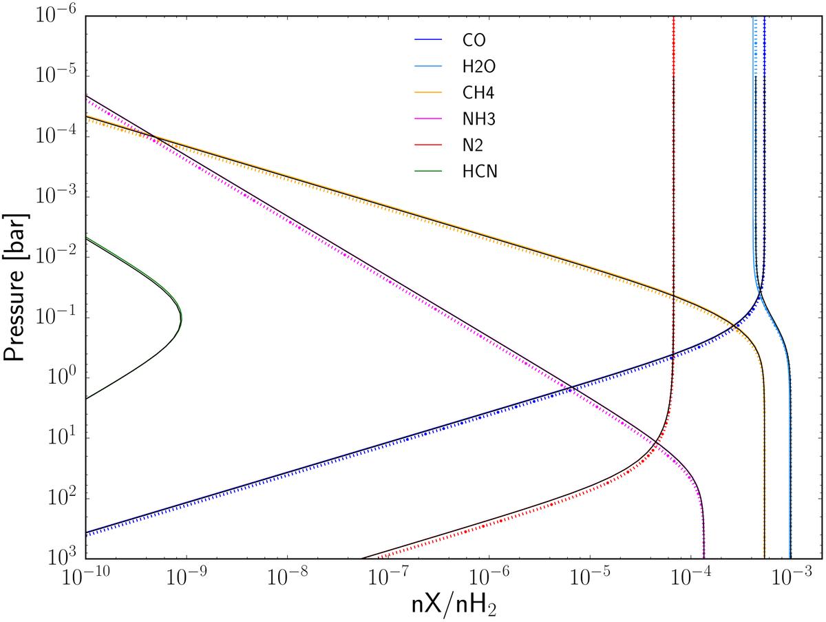
Fig. A.2

image

Chemical equilibrium abundances derived using the Gibbs energy minimisation scheme (coloured solid lines), the Burrows & Sharp (1999) analytical formula (coloured dashed lines) and the Heng & Tsai (2016) analytical formula (black lines) for a T = 1000 K isothermal profile. Note that HCN is not included in the Burrows & Sharp (1999) formula.

Current usage metrics show cumulative count of Article Views (full-text article views including HTML views, PDF and ePub downloads, according to the available data) and Abstracts Views on Vision4Press platform.

Data correspond to usage on the plateform after 2015. The current usage metrics is available 48-96 hours after online publication and is updated daily on week days.

Initial download of the metrics may take a while.