Free Access

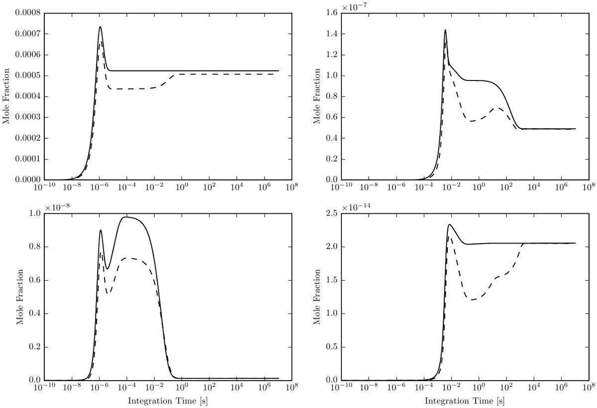
Fig. A.4

image

Chemical evolution of (from top left, clockwise) H, OH, NNH and C2H6 with different approaches to the reversal of certain chemical reactions (see Venot et al. 2012, for details) in the dashed and solid lines; to be compared with Venot et al. (2012, Fig. 2).

Current usage metrics show cumulative count of Article Views (full-text article views including HTML views, PDF and ePub downloads, according to the available data) and Abstracts Views on Vision4Press platform.

Data correspond to usage on the plateform after 2015. The current usage metrics is available 48-96 hours after online publication and is updated daily on week days.

Initial download of the metrics may take a while.