Free Access

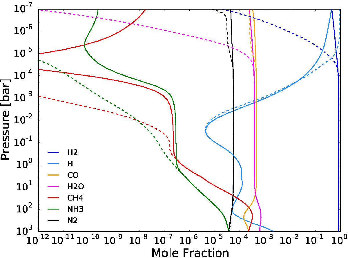
Fig. A.5

image

Chemical abundances calculated for HD 209458b with equilibrium abundances (dashed) and non-equilibrium abundances (solid) using the Moses et al. (2011) pressure-temperature profile (their Fig. 2, dayside average profile); to be compared with Venot et al. (2012, Fig. 5) and Moses et al. (2011, Figs. 5 and 6).

Current usage metrics show cumulative count of Article Views (full-text article views including HTML views, PDF and ePub downloads, according to the available data) and Abstracts Views on Vision4Press platform.

Data correspond to usage on the plateform after 2015. The current usage metrics is available 48-96 hours after online publication and is updated daily on week days.

Initial download of the metrics may take a while.