Highlight
Free Access

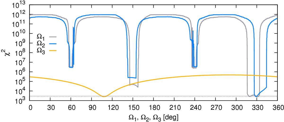
Fig. 10

image

Example of the one-dimensional χ2 mapping used to derive uncertainties of orbital elements for the ξ Tau system. The dependencies of the χ2 values on the three nodes Ω1, Ω2, Ω3 are shown, while the remaining elements correspond to the best-fit values from Table 15. The preferred solution for Ω1 ≃ 331°, with χ2 = 2578, and a hint of a mirror solution at Ω1 ≃ 151° are clearly visible. If the latter is optimised separately, we would obtain χ2 as low as 2 749. The sudden increase of corresponds to the disappearance of the eclipses of the inner binary, which naturally results in extreme OC’s.

Current usage metrics show cumulative count of Article Views (full-text article views including HTML views, PDF and ePub downloads, according to the available data) and Abstracts Views on Vision4Press platform.

Data correspond to usage on the plateform after 2015. The current usage metrics is available 48-96 hours after online publication and is updated daily on week days.

Initial download of the metrics may take a while.