Free Access

Fig. 13

image

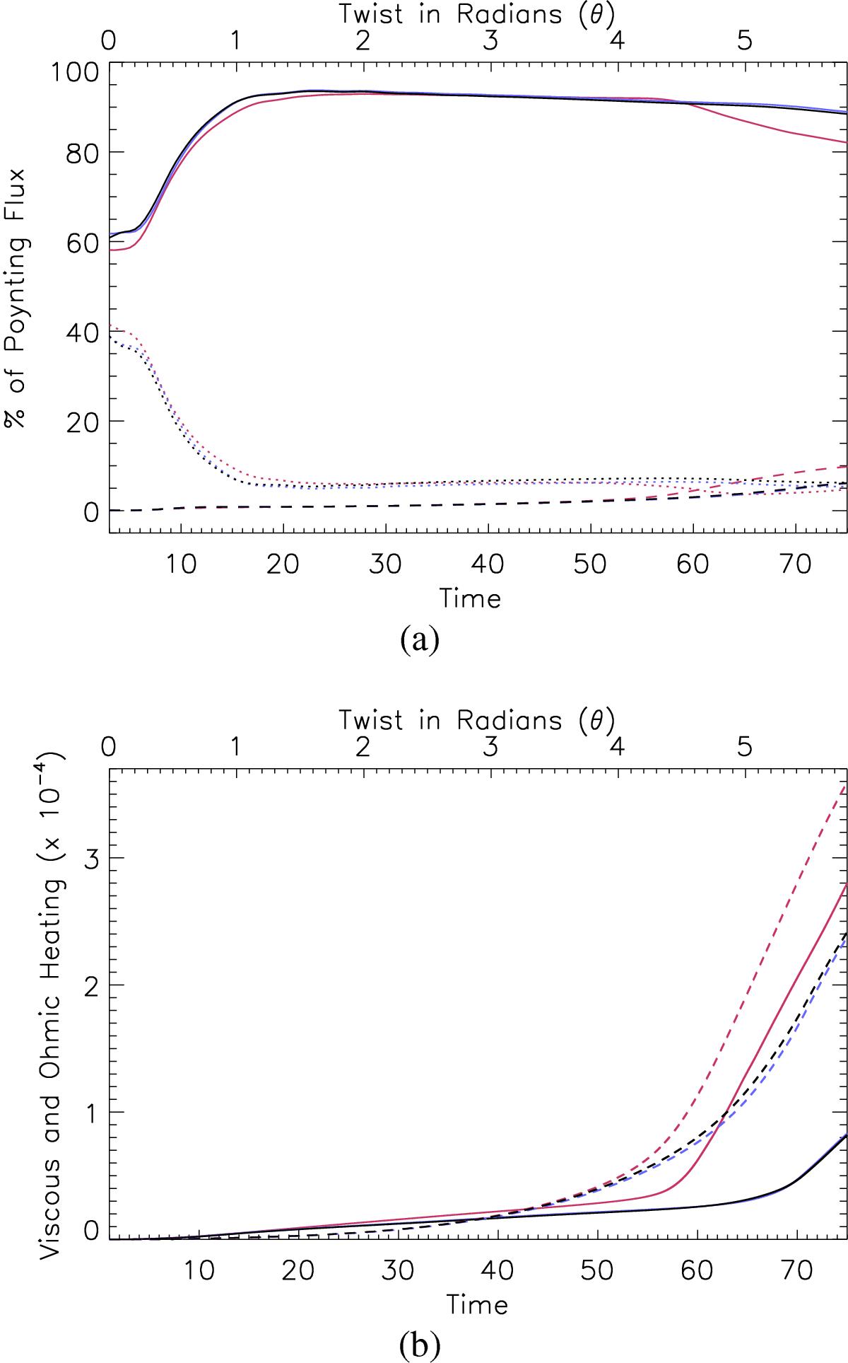
a) Integrated time and volume contributions of the rate of the change of the magnetic energy (solid), the work done by the Lorentz force (dotted) and the Joule dissipation (dashed) as a percentage of the integrated Poynting flux and b) integrated Ohmic (dashed) and viscous (solid) heating, for cases (i); (ii) and (iii) shown in pink, blue, and black, respectively.

Current usage metrics show cumulative count of Article Views (full-text article views including HTML views, PDF and ePub downloads, according to the available data) and Abstracts Views on Vision4Press platform.

Data correspond to usage on the plateform after 2015. The current usage metrics is available 48-96 hours after online publication and is updated daily on week days.

Initial download of the metrics may take a while.