Free Access

Fig. 16

image

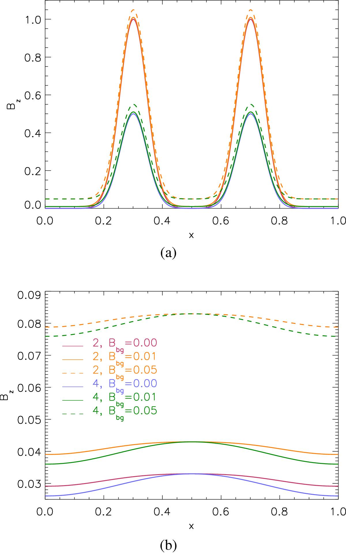
Bz at y = 0.5a) on the lower boundary and b) in the mid-plane for non-background field cases with 2 (pink) and 4 (blue) sources and for cases with BBg = 0.01 (solid) and BBg = 0.05 (dashed) for two and four sources displayed in orange and green, respectively.

Current usage metrics show cumulative count of Article Views (full-text article views including HTML views, PDF and ePub downloads, according to the available data) and Abstracts Views on Vision4Press platform.

Data correspond to usage on the plateform after 2015. The current usage metrics is available 48-96 hours after online publication and is updated daily on week days.

Initial download of the metrics may take a while.