Free Access

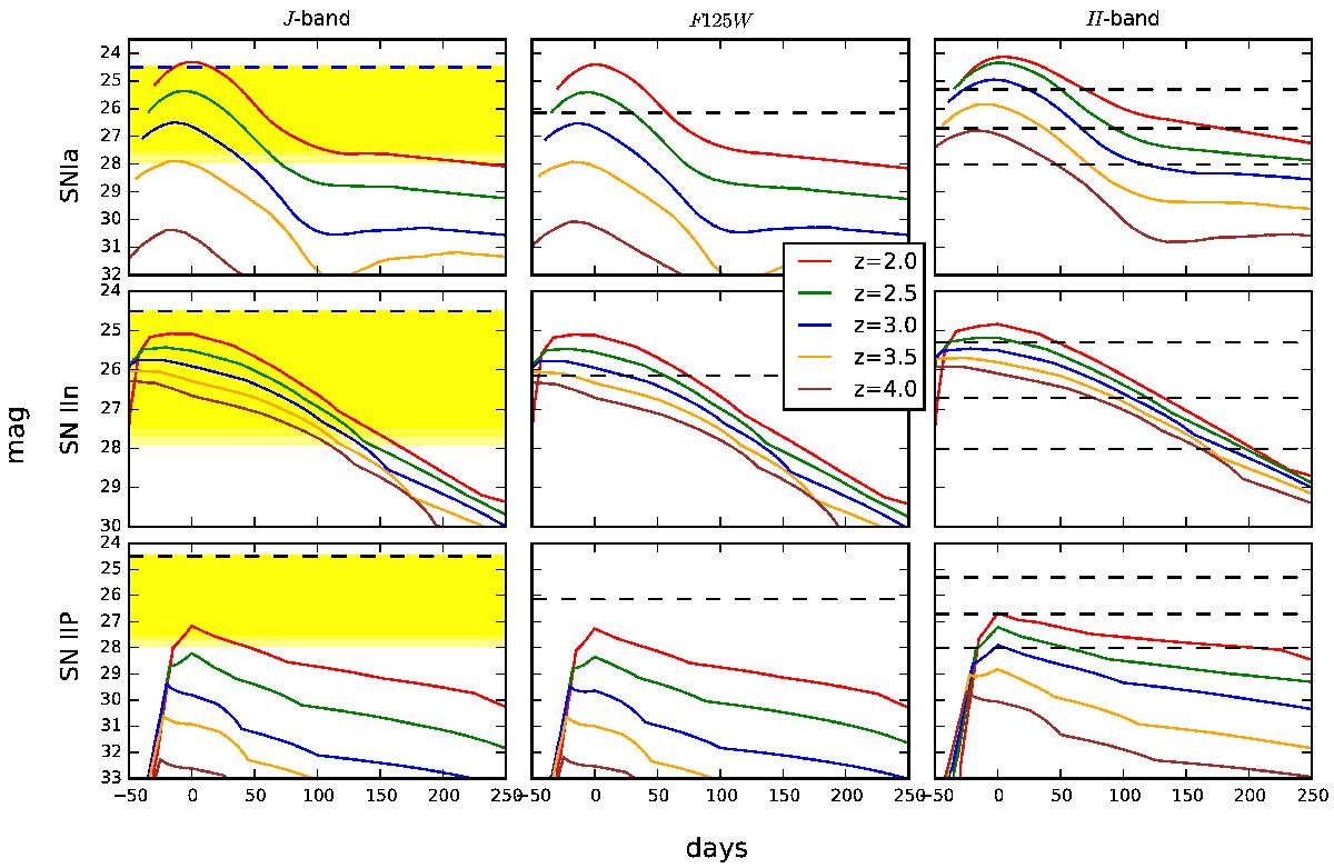
Fig. 12

image

Observer frame light curves for a SN Ia (upper panels), SN IIn (middle panels) and SN IIL (lower panels) in the HAWK-I J, HST F125W and WFIRST H bands, respectively. The horizontal dashed lines indicate the depths assumed in the calculation, 24.5 for the J band and 26.15 for F125W. In the H band the three depths represent the three main survey modes planned for WFIRST (Spergel et al. 2013). The yellow band denotes the average magnification from the galaxy cluster A 1689 at the same redshifts in the central region with 2.7′ × 3.3′.

Current usage metrics show cumulative count of Article Views (full-text article views including HTML views, PDF and ePub downloads, according to the available data) and Abstracts Views on Vision4Press platform.

Data correspond to usage on the plateform after 2015. The current usage metrics is available 48-96 hours after online publication and is updated daily on week days.

Initial download of the metrics may take a while.