Free Access

Fig. 6

image

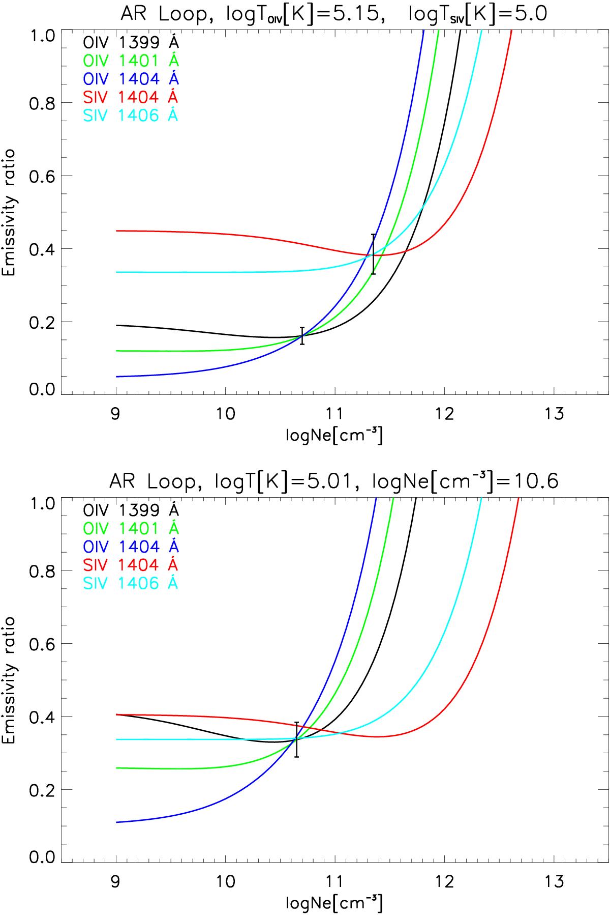
Emissivity ratio curves as a function of density for the O iv and S iv spectral lines observed by IRIS in the “loop” region. Different colours for the curves indicate different spectral lines as described in the legend. In the top panel, we assume the typical temperatures of formation of logT[K] = 5.15 and 5 for the O iv and S iv ions, respectively. In the bottom panel, a temperature of logT[K] 5 is assumed instead for both ions. The error bars include the propagation of a 10% uncertainty in both the line intensity and the atomic data.

This figure is made of several images, please see below:

Current usage metrics show cumulative count of Article Views (full-text article views including HTML views, PDF and ePub downloads, according to the available data) and Abstracts Views on Vision4Press platform.

Data correspond to usage on the plateform after 2015. The current usage metrics is available 48-96 hours after online publication and is updated daily on week days.

Initial download of the metrics may take a while.