Free Access

Fig. 8

image

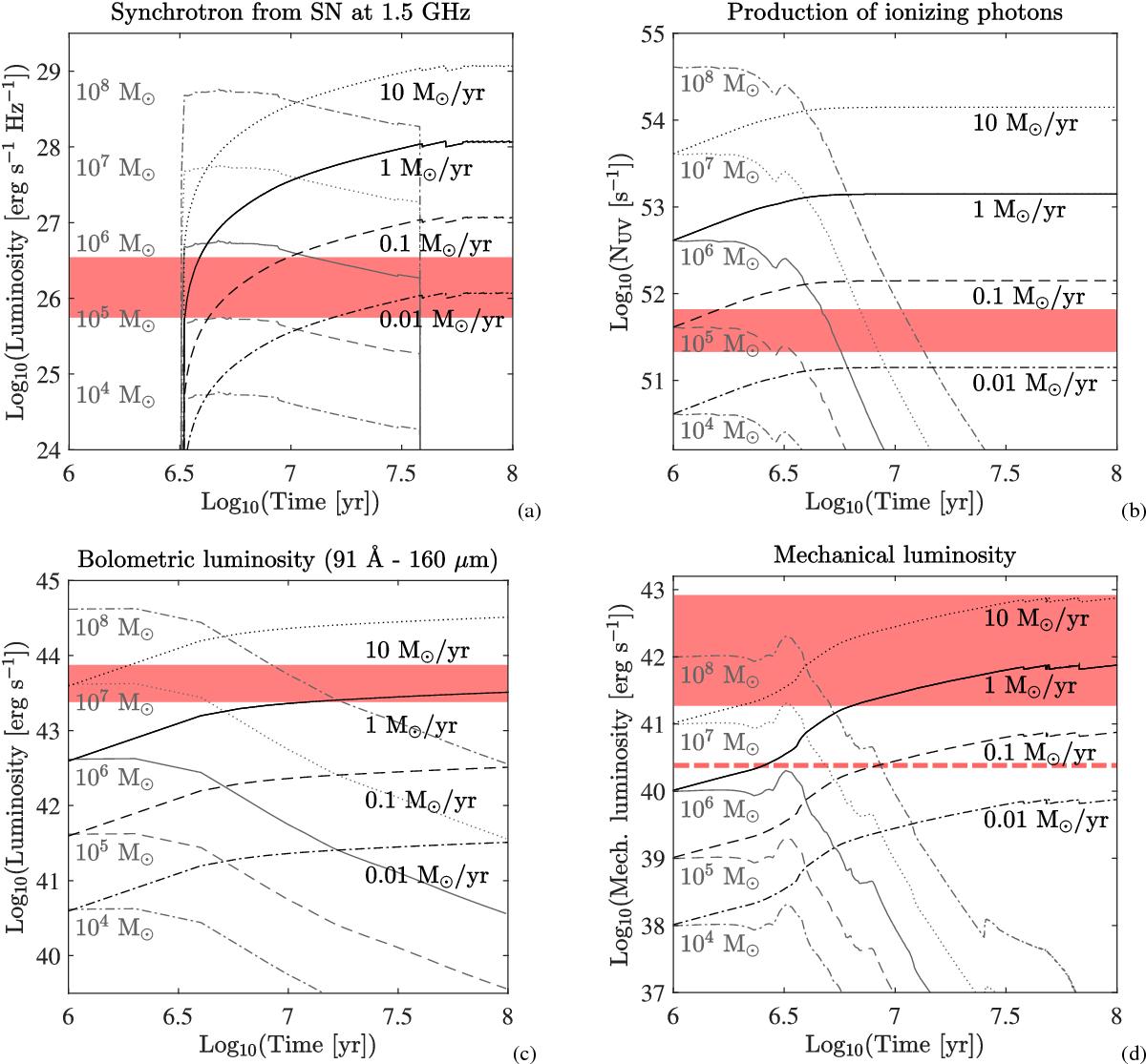
Comparison of observed properties of NGC 1377 with Starburst99 models. Black lines show results for models with continuous SFRs of 0.01, 0.1, 1, and 10 M/yr. Gray lines show results for models assuming instantaneous star formation with total stellar masses ranging from 104 to 108M. a) Comparison of the observed X-band emission with the expected synchrotron emission at 1.5 GHz from supernovae. The shaded area shows the confidence interval of our measurement of the radio luminosity at 1.5 GHz. b) Production rate of ionizing photons (NUV) from HII regions. The shaded area shows the confidence interval for NUV derived from our estimate of the thermal radio emission. c) Bolometric luminosity derived by integrating the continuum flux from the Starburst99 models between 91 Å and 160 μm. The shaded area shows the IR luminosity derived by the IRAS fluxes (Imanishi et al. 2009) assuming a confidence interval of 50%. d) Mechanical luminosity from stellar winds and supernova explosions. The shaded area shows the confidence interval of the measurement of mechanical luminosity of the molecular outflow detected by Aalto et al. (2016) with ALMA in the CO J = 3 − 2 transition, assuming a Galactic CO-H2 conversion factor (massive jet). The red dashed line shows the lower limit of the outflow mechanical luminosity assuming a conversion factor 10 times lower (light jet). See Sect. 3.6 for discussion.

This figure is made of several images, please see below:

Current usage metrics show cumulative count of Article Views (full-text article views including HTML views, PDF and ePub downloads, according to the available data) and Abstracts Views on Vision4Press platform.

Data correspond to usage on the plateform after 2015. The current usage metrics is available 48-96 hours after online publication and is updated daily on week days.

Initial download of the metrics may take a while.