Free Access

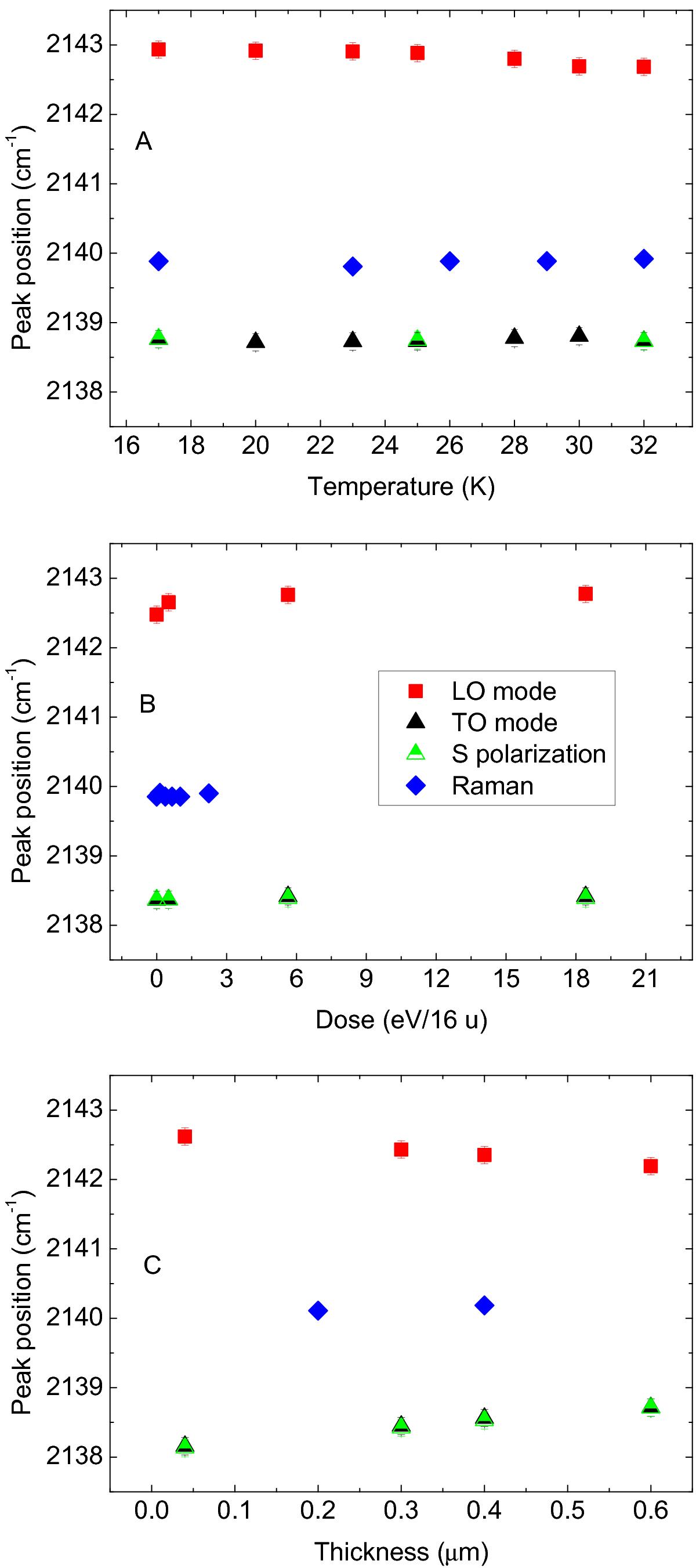
Fig. 3

image

Experimental CO peak positions measured in IR and Raman spectra varying the sample temperature (panel A), irradiation dose (panel B), and film thickness (panel C). Red squares: LO band in P polarization; black triangles: TO band in P polarization; green triangles: CO band in S polarization; and blue rhombus: Raman stretching mode band.

Current usage metrics show cumulative count of Article Views (full-text article views including HTML views, PDF and ePub downloads, according to the available data) and Abstracts Views on Vision4Press platform.

Data correspond to usage on the plateform after 2015. The current usage metrics is available 48-96 hours after online publication and is updated daily on week days.

Initial download of the metrics may take a while.