Free Access

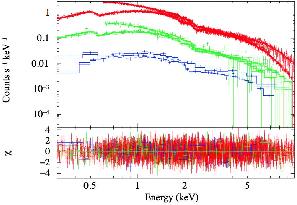
Fig. 2

image

XMM-Newton and Chandra spectra. Upper spectra (in red) refer to the pn (0.610 keV) and MOS (0.310 keV) high state spectra. Middle spectra (in green) refer to pn and MOS low state spectra. The lowest spectra (in blue) refer to the quiescent state (among the two curves the highest refers to XMM-Newton data and the lowest to Chandra data). The fitting model is described in the text.

Current usage metrics show cumulative count of Article Views (full-text article views including HTML views, PDF and ePub downloads, according to the available data) and Abstracts Views on Vision4Press platform.

Data correspond to usage on the plateform after 2015. The current usage metrics is available 48-96 hours after online publication and is updated daily on week days.

Initial download of the metrics may take a while.