Free Access

Fig. 1

image

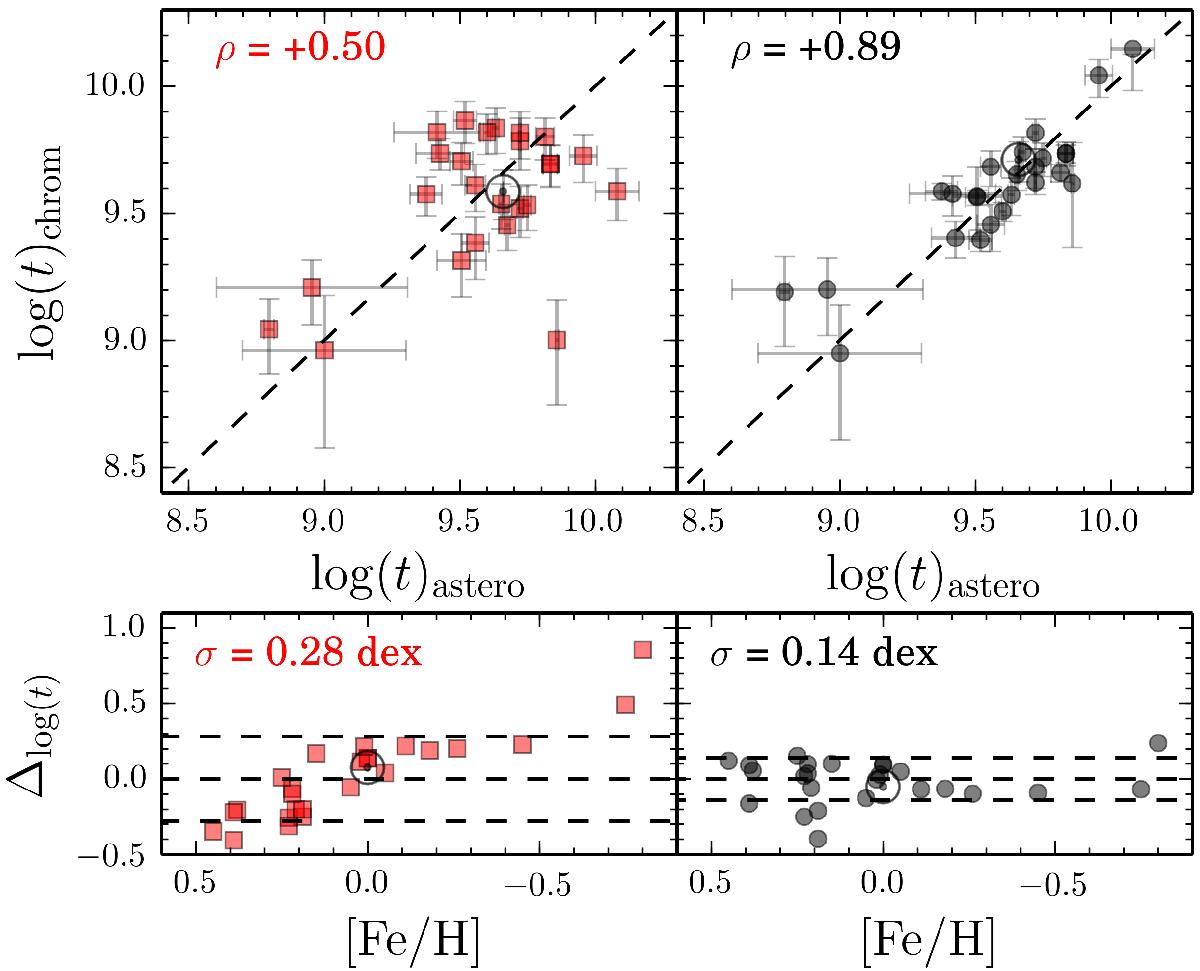
Upper panels: comparison of asteroseismological with chromospheric ages from our calibration (black circles) and MH08 (red squares) for a sample of stars spanning a wide interval in age, mass, and metallicity. The dashed line is the 1:1 relation. Lower panels: difference between the age estimates Δlog (t) (log (tastero) − log (tchrom)) as a function of [Fe/H] . The dashed lines stand for ±1σ chromospheric age uncertainty.

Current usage metrics show cumulative count of Article Views (full-text article views including HTML views, PDF and ePub downloads, according to the available data) and Abstracts Views on Vision4Press platform.

Data correspond to usage on the plateform after 2015. The current usage metrics is available 48-96 hours after online publication and is updated daily on week days.

Initial download of the metrics may take a while.