Free Access

Fig. 3

image

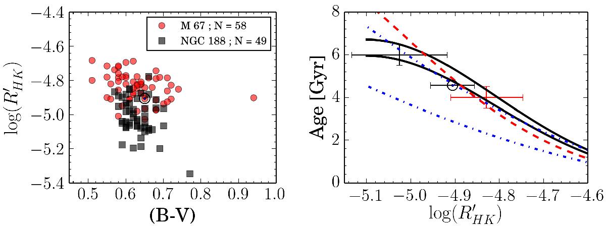
Left: observed distribution of log and (BV) in the M 67 and NGC 188 clusters. The number of stars in each cluster’s average is indicated. The distribution of colors, and thus also of Teffs and mass, is very similar in the two clusters. The Sun is plotted as the symbol. Right: log for M 67, NGC 188, and the Sun plotted against the age-mass-metallicity-activity relation for 1.0 (upper) and 1.1 solar masses (lower solid line). The blue dash-dotted lines stand for MH08 ACAR for (BV) = 0.6 (lower) and 0.7 (upper). The red dashed line is the CA-age relation from MH08. Vertical bars are age uncertainties; horizontal bars are observed dispersions in log.

This figure is made of several images, please see below:

Current usage metrics show cumulative count of Article Views (full-text article views including HTML views, PDF and ePub downloads, according to the available data) and Abstracts Views on Vision4Press platform.

Data correspond to usage on the plateform after 2015. The current usage metrics is available 48-96 hours after online publication and is updated daily on week days.

Initial download of the metrics may take a while.