Free Access

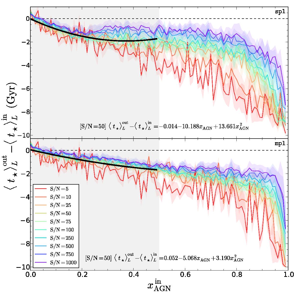
Fig. 5

image

Difference between the output and input luminosity-weighted mean stellar age tL as a function of for spl and mpl models (upper and lower panels, respectively). Thick black lines have the same meaning as in Fig. 4.

Current usage metrics show cumulative count of Article Views (full-text article views including HTML views, PDF and ePub downloads, according to the available data) and Abstracts Views on Vision4Press platform.

Data correspond to usage on the plateform after 2015. The current usage metrics is available 48-96 hours after online publication and is updated daily on week days.

Initial download of the metrics may take a while.