Free Access

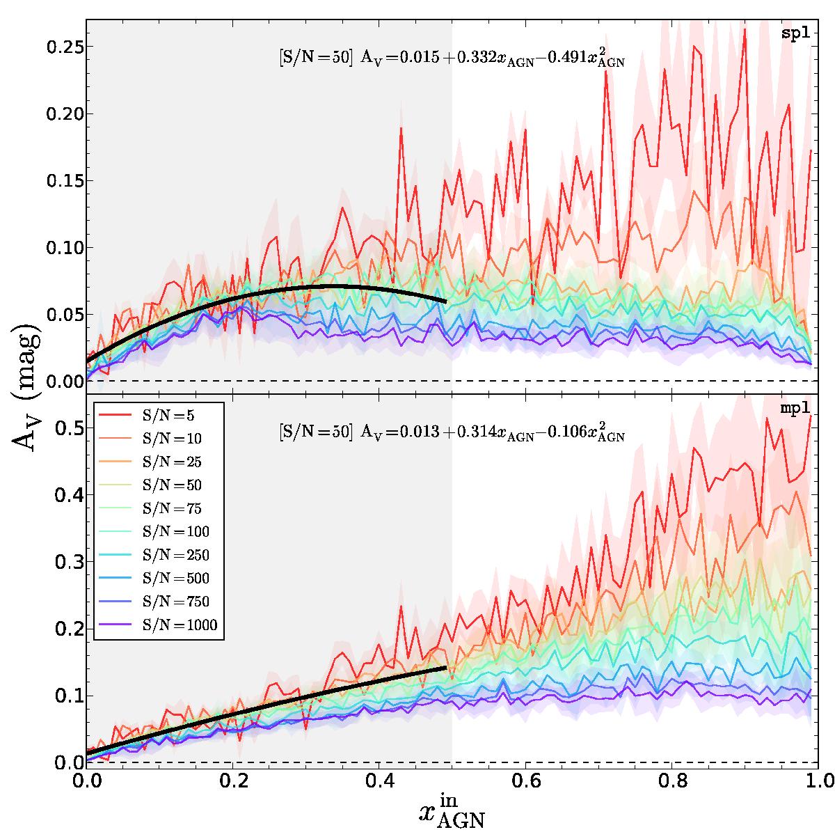
Fig. 6

image

Inferred intrinsic extinction AV (mag) in the V-band as a function of for spl and mpl fits (upper and lower panels, respectively). The input SEDs are computed for an AV = 0. Thick black lines have the same meaning as in Fig. 4.

Current usage metrics show cumulative count of Article Views (full-text article views including HTML views, PDF and ePub downloads, according to the available data) and Abstracts Views on Vision4Press platform.

Data correspond to usage on the plateform after 2015. The current usage metrics is available 48-96 hours after online publication and is updated daily on week days.

Initial download of the metrics may take a while.