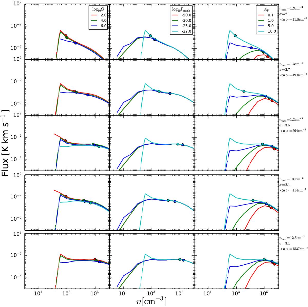
Fig. 8

Weighted fluxes for HCN(1−0) for different density PDFs. In the first three rows the median density of the PDFs corresponds to that of the SPH simulation, whereas the dispersion is increased from 2.1 to 2.7 to 3.5. In the fourth row, the median density is increased by a factor of 100 compared to that of the SPH simulation, but the dispersion is kept fixed at 2.1. In the last row we show the weighted fluxes for the PDF obtained by the Wada Wada (2001) simulation. In the first column the FUV flux is varied, from 100 times the flux at the solar neighborhood to 106G0 corresponding to the FUV flux in extreme starbursts (AV = 10 mag, log 10Γmech = −22). In the middle column we vary Γmech from the heating rate corresponding to quiescent disks to rates typical to violent starbursts with a SFR of 1000 M⊙ per year (AV = 10 mag, log 10G = 2). In the last column the AV is varied from 0.1 to 10 mag, corresponding respectively to the typical values for a transition zone from H+ to H and for dark molecular clouds (log 10G = 2, log 10Γmech = −22). The onset of emission is determined mainly by Γmech; for instance in looking at the middle column, we see that this onset of emission corresponds to n ~ 102 cm-3, where for lower densities H2 does not form, which is essential for other molecules such as HCN to form. For each curve in every panel we also plot (with filled circles) the density, n90, where 90% of the emission emanates from n <n90. For example, in the top row, even for the most intense FUV flux n90 ~ 103.5 cm-3. On the other hand, in bottom row, n90 > 105 cm-3. We note that the curves corresponding to Γmech 10-50 (a pure PDR) and 10-30 erg cm-3 s-1 in the second column overlap.
Current usage metrics show cumulative count of Article Views (full-text article views including HTML views, PDF and ePub downloads, according to the available data) and Abstracts Views on Vision4Press platform.
Data correspond to usage on the plateform after 2015. The current usage metrics is available 48-96 hours after online publication and is updated daily on week days.
Initial download of the metrics may take a while.