Free Access

Fig. 14

image

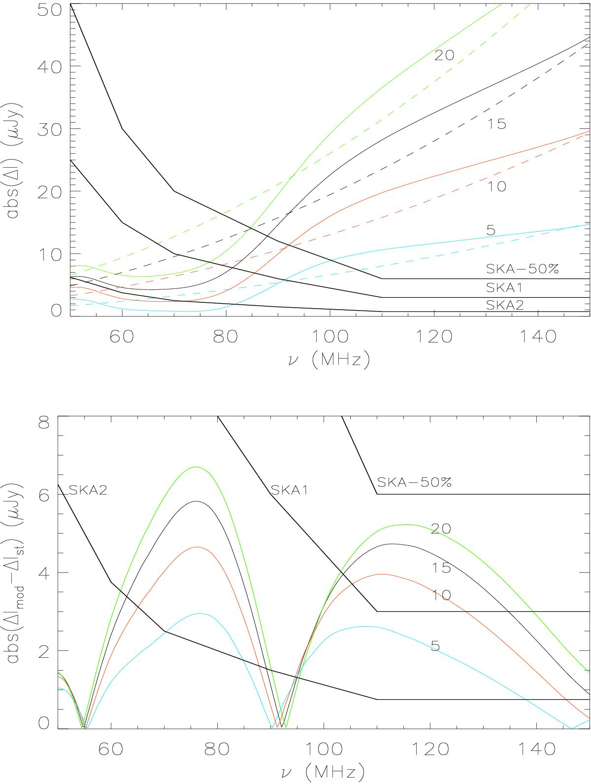
Upper panel: spectra of the fluxes of the SZE-21 cm ΔImod (in units of μJy and in absolute value with the solid lines) and the SZE for a non-modified CMB ΔIst (dashed lines). Lower panel: absolute value of the difference between the SZE-21 cm and the standard SZE for a non-modified CMB. Both panels are using for the modified CMB the fiducial model without DM (solid line in Fig. 1). Both panels are for thermal plasma with temperatures kT = 20 (green), 15 (black), 10 (red) and 5 (cyan) keV, and calculated for τ0 = 5 × 10-3, θc = 300 arcesc, β = 0.75, θmax = 10θc, compared with the SKA-50%, SKA1-low, and SKA 2 sensitivities for 100 kHz bandwith, 1000 h of integration, 2 polarizations, no taper, no weight (thick lines).

This figure is made of several images, please see below:

Current usage metrics show cumulative count of Article Views (full-text article views including HTML views, PDF and ePub downloads, according to the available data) and Abstracts Views on Vision4Press platform.

Data correspond to usage on the plateform after 2015. The current usage metrics is available 48-96 hours after online publication and is updated daily on week days.

Initial download of the metrics may take a while.