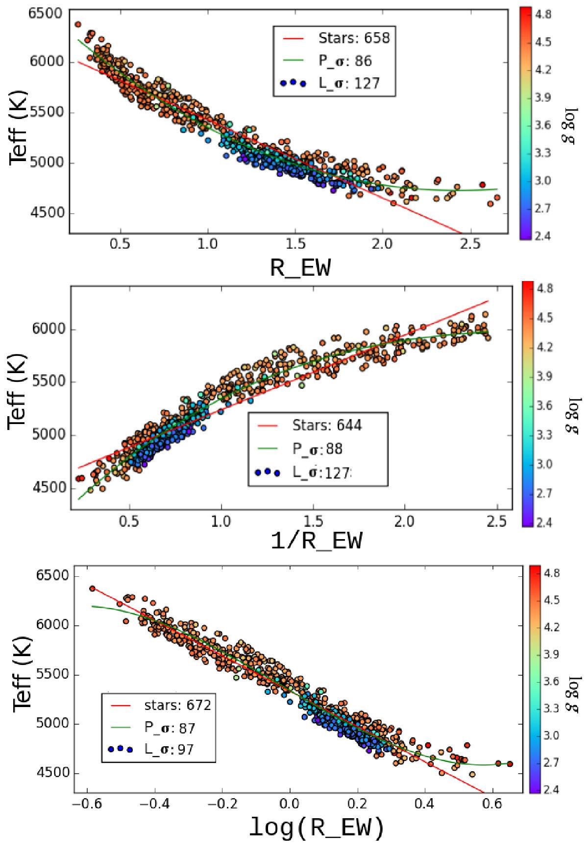
Fig. 3

Fitting procedure for the Teff calibration using the ratio, R_EW, between the EW of lines V i (5670.85 Å) and Fe i (5635.83 Å). We also show the fit for the inverse of the ratio, 1 /R_EW, and the logarithm of the ratio, log R_EW. The final number of stars used in the fit, the standard deviation of the linear fit, L_σ, and of the third-degree polynomial fit, P_σ. The log g of each star is colour-coded.
Current usage metrics show cumulative count of Article Views (full-text article views including HTML views, PDF and ePub downloads, according to the available data) and Abstracts Views on Vision4Press platform.
Data correspond to usage on the plateform after 2015. The current usage metrics is available 48-96 hours after online publication and is updated daily on week days.
Initial download of the metrics may take a while.