Free Access
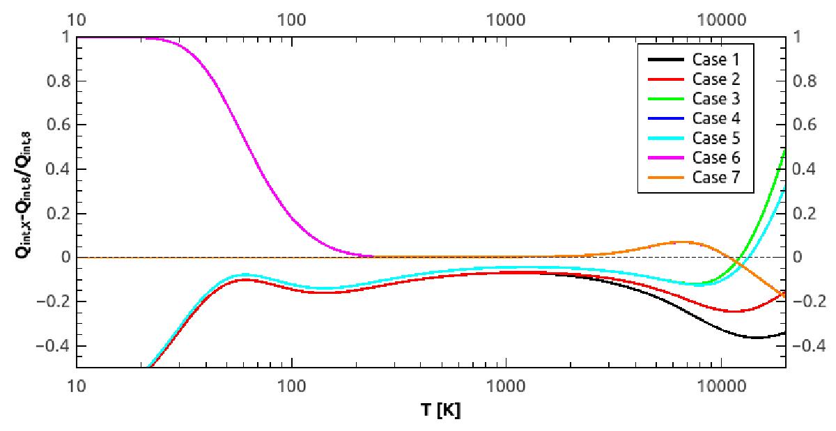
Fig. 3

Comparison of different approaches for calculating Qint for the H2 molecule. Case 1 is identical to case 2 below 1500 K; case 4 is completely identical to case 5 for H2. All of the methods (i.e. cases 1–7) diverge substantially from our most accurate computation (case 8) for low as well as high temperatures.
Current usage metrics show cumulative count of Article Views (full-text article views including HTML views, PDF and ePub downloads, according to the available data) and Abstracts Views on Vision4Press platform.
Data correspond to usage on the plateform after 2015. The current usage metrics is available 48-96 hours after online publication and is updated daily on week days.
Initial download of the metrics may take a while.