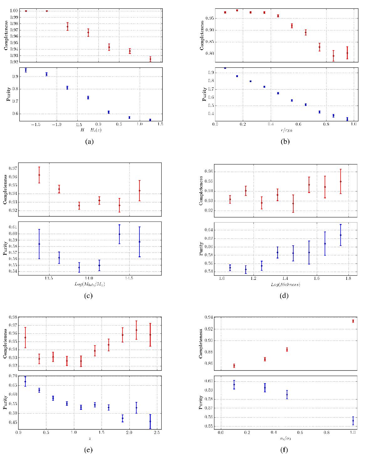
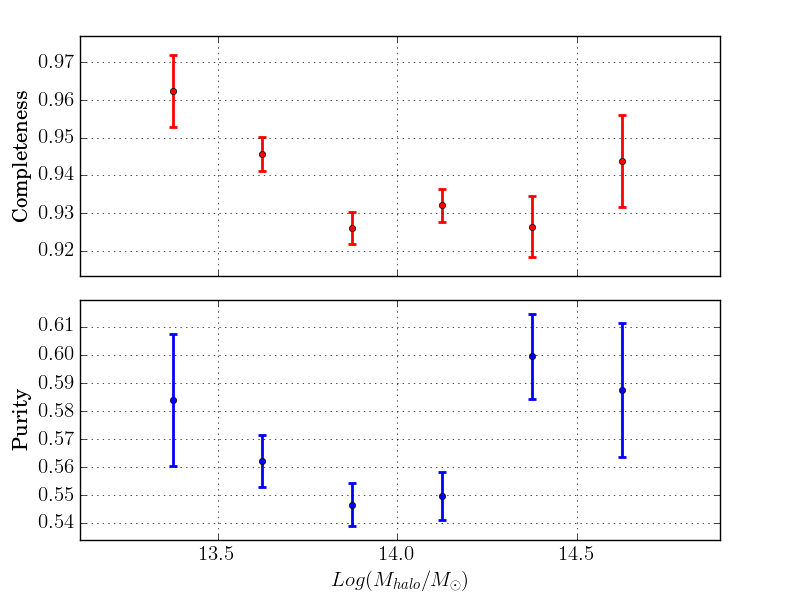
Fig. 6

Mean completeness and purity along with associated errors as a function of galaxy magnitude (panel a)), projected separation, in r200 units, of the galaxy from the cluster center (panel b)), halo mass (panel c)) and richness (panel d)), cluster redshift (panel e)), and cluster redshift accuracy σc/σ0 (panel f)). Richness refers to cluster galaxies brighter than H∗(zp) + 1.5 and within r200 radius of each halo. All values refer to σ0 = 0.03 and a probability threshold Pthr = 20%.
Current usage metrics show cumulative count of Article Views (full-text article views including HTML views, PDF and ePub downloads, according to the available data) and Abstracts Views on Vision4Press platform.
Data correspond to usage on the plateform after 2015. The current usage metrics is available 48-96 hours after online publication and is updated daily on week days.
Initial download of the metrics may take a while.