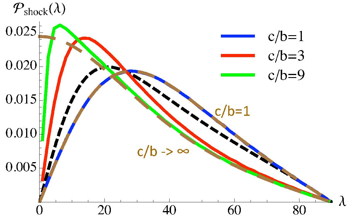
Fig. 3

Probability of λ, , for the 3D elliptical model, Eq. (2), for different aspect ratios, c/b, defined in the plane orthogonal to the shock propagation direction (see Fig. 2). The two dashed brown curves are the two analytical limits of Eqs. (4) and (5). The black dashed curve is the axisymmetric model of Janvier et al. (2015b) with a total angular width 2ϕmax = 30°. The difference between the black and blue-brown dashed curves is that λ is computed from the local radial direction from the Sun for the first one and from the x-direction for the second (see Sect. 2.2). For all curves b/a = 1.4.
Current usage metrics show cumulative count of Article Views (full-text article views including HTML views, PDF and ePub downloads, according to the available data) and Abstracts Views on Vision4Press platform.
Data correspond to usage on the plateform after 2015. The current usage metrics is available 48-96 hours after online publication and is updated daily on week days.
Initial download of the metrics may take a while.