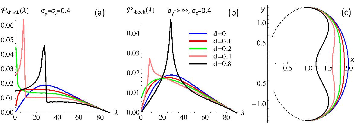
Fig. 5

a), b) Theoretical distributions obtained with a 3D ellipsoidal model with a variable dip shape at its front as defined by Eq. (7) and shown in c) with a cut in the x-y plane. The color curves are for different dip depths (parameter d). a) The front is asymmetric around the x axis (direction of CME propagation) and b) the dip has no dependence on y. For all curves b/a = 1.4 and c/b = 1.
Current usage metrics show cumulative count of Article Views (full-text article views including HTML views, PDF and ePub downloads, according to the available data) and Abstracts Views on Vision4Press platform.
Data correspond to usage on the plateform after 2015. The current usage metrics is available 48-96 hours after online publication and is updated daily on week days.
Initial download of the metrics may take a while.