Free Access

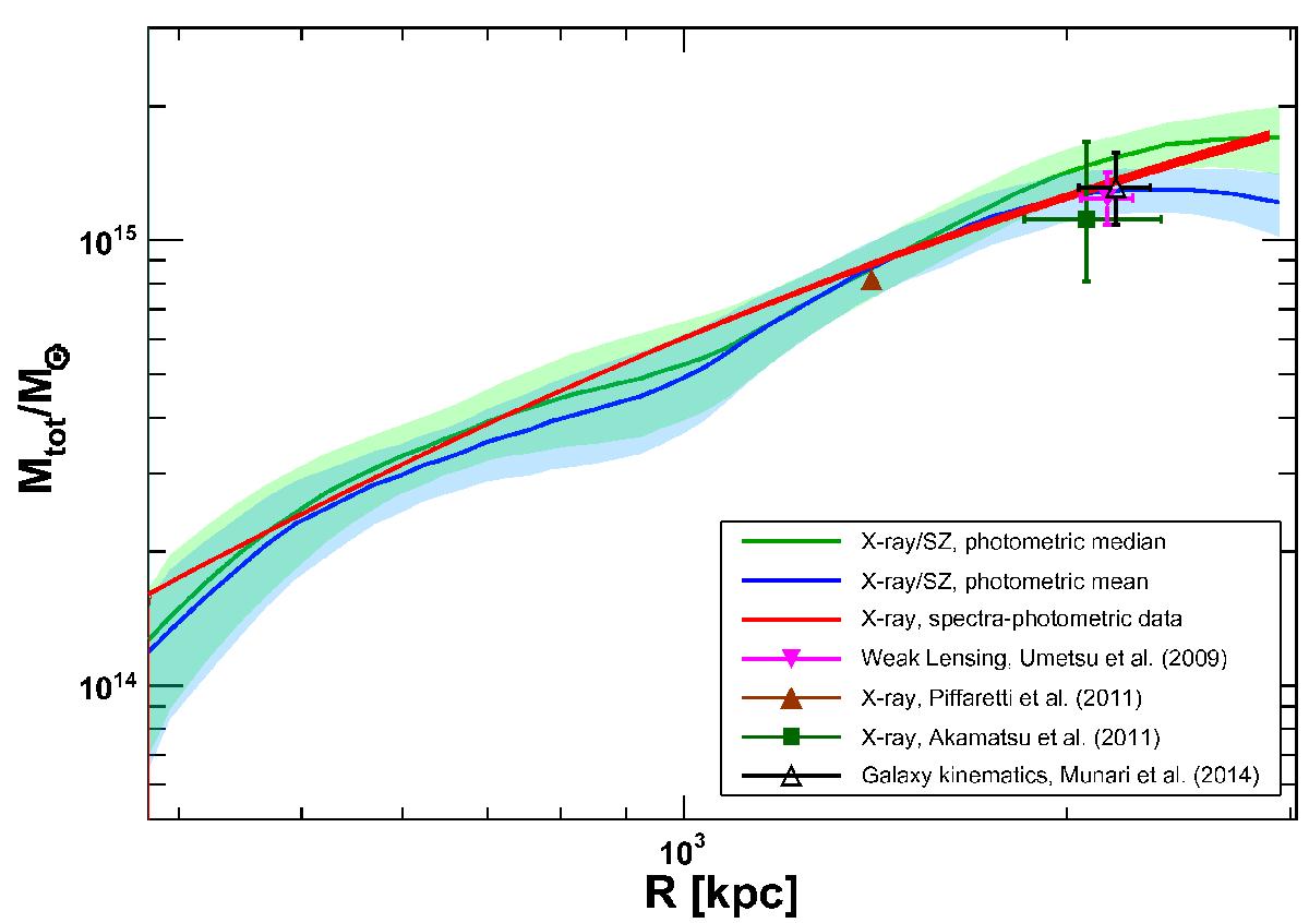
Fig. 13

image

Mass profile of A 2142. Green: X-SZ combined profile using the azimuthal median density profile. Blue: X-SZ combined profile using the azimuthal mean density profile. Red: NFW fit to the spectroscopic X-ray data using the method of Ettori et al. (2010). For comparison, we also plot the mass measurements reported in the literature. Brown triangle: M500 from LXM relation (Piffaretti et al. 2011); pink reversed triangle: M200 from Subaru weak lensing (Umetsu et al. 2009); dark green square: M200 from Suzaku X-ray (Akamatsu et al. 2011); black empty triangle: M200 from galaxy kinematics (Munari et al. 2014).

Current usage metrics show cumulative count of Article Views (full-text article views including HTML views, PDF and ePub downloads, according to the available data) and Abstracts Views on Vision4Press platform.

Data correspond to usage on the plateform after 2015. The current usage metrics is available 48-96 hours after online publication and is updated daily on week days.

Initial download of the metrics may take a while.