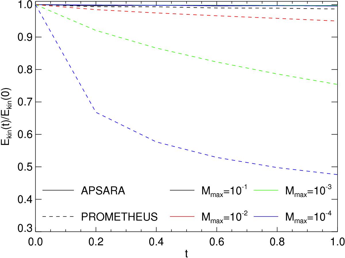
Fig. 4

Total kinetic energy as a function of time Ekin(t) normalized by the total kinetic of the initial state Ekin(0) for the Gresho vortex problem. The solid and dashed lines show the results computed with Apsara and Prometheus, respectively. Curves of different colors correspond to different maximum Mach numbers. In the case of Apsara, these curves are visually indistinguishable.
Current usage metrics show cumulative count of Article Views (full-text article views including HTML views, PDF and ePub downloads, according to the available data) and Abstracts Views on Vision4Press platform.
Data correspond to usage on the plateform after 2015. The current usage metrics is available 48-96 hours after online publication and is updated daily on week days.
Initial download of the metrics may take a while.