Free Access

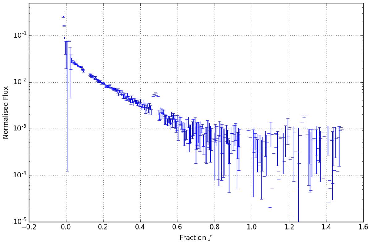
Fig. 4

image

Aureole flux at a latitude of +49° is plotted as a function of the fraction of the Venus diameter seen outside of the photosphere f. The flux is normalized to a reference element of the solar photosphere, the brightness of a 1 × 1 arcsec2 at one apparent Venus diameter from the solar limb. The aureole flux is plotted as a function of the linear fraction of the Venus diameter seen outside of the photosphere f, from the point of view of the observer.

Current usage metrics show cumulative count of Article Views (full-text article views including HTML views, PDF and ePub downloads, according to the available data) and Abstracts Views on Vision4Press platform.

Data correspond to usage on the plateform after 2015. The current usage metrics is available 48-96 hours after online publication and is updated daily on week days.

Initial download of the metrics may take a while.