Free Access

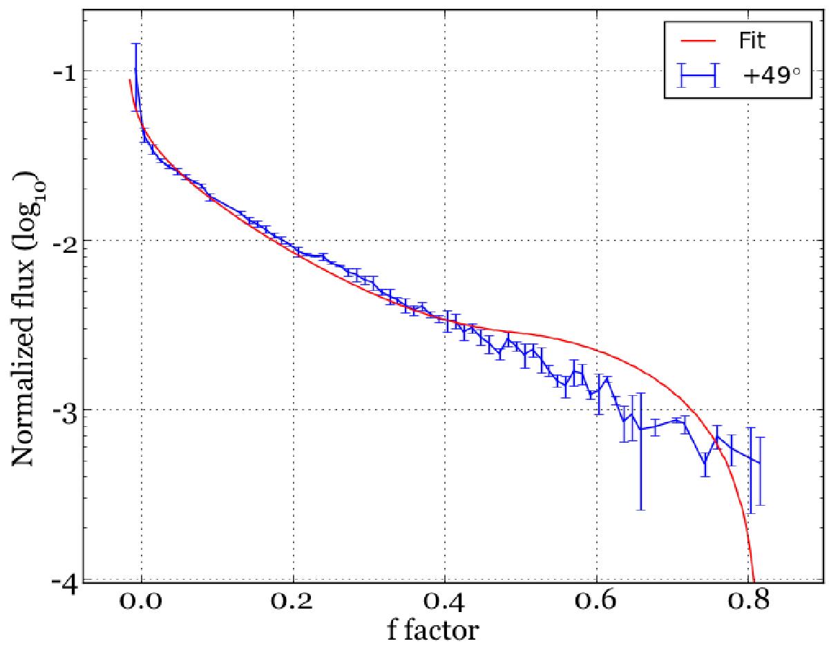
Fig. 6

image

Best fit of the aureole light curve from SDO/HMI at +49° (morning terminator) obtained with the single-layer, isothermal model. The flux is the same than in Fig. 4, binned over ten consecutive points. Parameters are H = 16.3 km, rcloud = 94 km and r1/2 = 96 km. We obtain a significant flux excess in the model at f > 0.5 when the Venus limb is more distant from the solar limb, i.e., when higher altitude refractive layers are probed. See Table 2 for the model parameters.

Current usage metrics show cumulative count of Article Views (full-text article views including HTML views, PDF and ePub downloads, according to the available data) and Abstracts Views on Vision4Press platform.

Data correspond to usage on the plateform after 2015. The current usage metrics is available 48-96 hours after online publication and is updated daily on week days.

Initial download of the metrics may take a while.