Free Access

Fig. 8

image

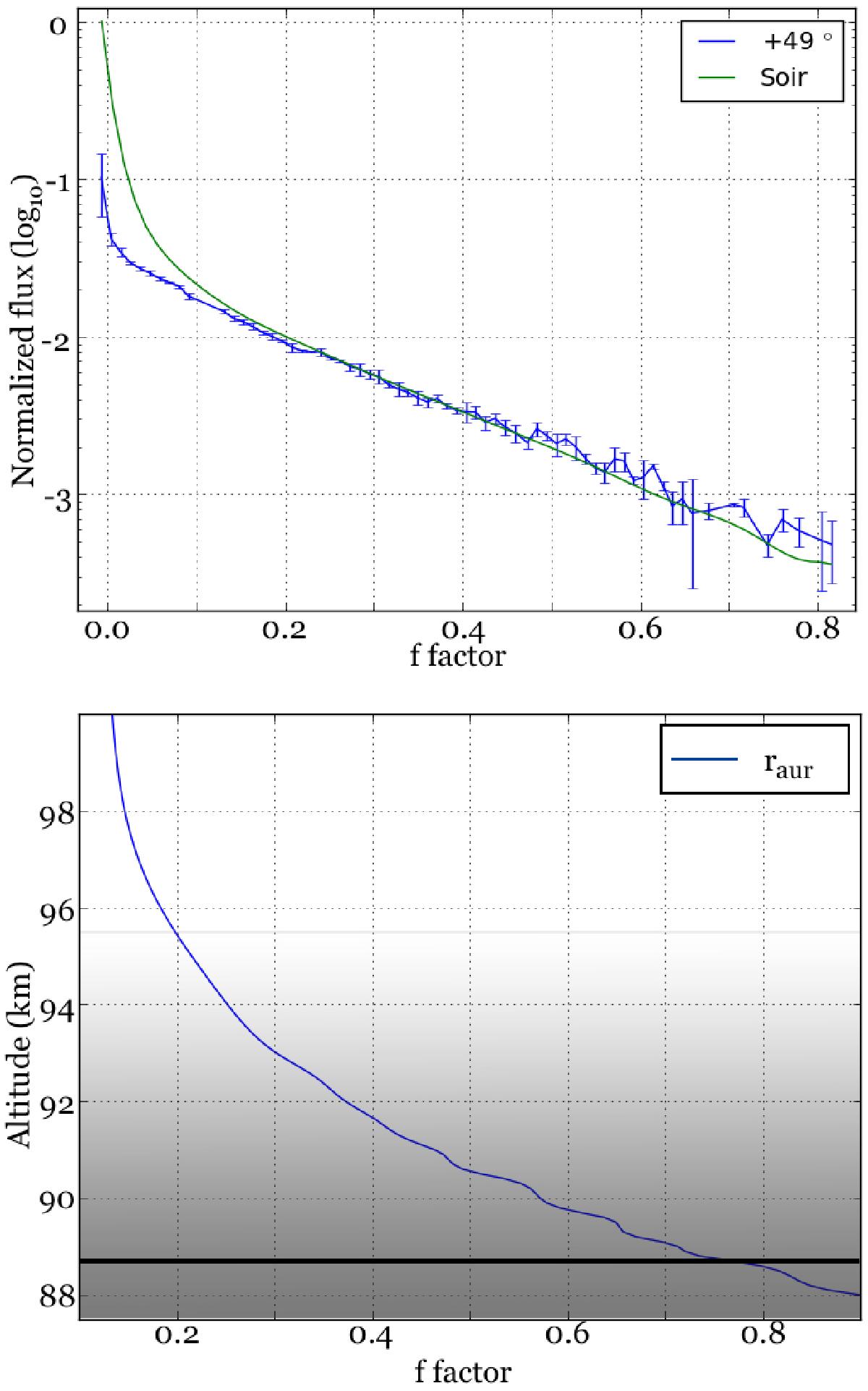
Top panel: best fit obtained with the vertical density profile of SOIR for the latitude + 49° and an aerosol scale height H = 4.8 km using the multilayer refractive model. Bottom panel: altitude of the highest layer probed by the aureole as a function of f (blue solid line). The maximum altitude corresponds to the tangent limb geometry at which the source of the light ray reaching the observer is the solar limb. Above this altitude, the deviation by refraction is too small to deflect sunlight toward the observer at + 49°. The gray gradient represents the scale height of the aerosols (H = 4.8 km) used in model 2. The dark line represents τ = 1.

This figure is made of several images, please see below:

Current usage metrics show cumulative count of Article Views (full-text article views including HTML views, PDF and ePub downloads, according to the available data) and Abstracts Views on Vision4Press platform.

Data correspond to usage on the plateform after 2015. The current usage metrics is available 48-96 hours after online publication and is updated daily on week days.

Initial download of the metrics may take a while.