Fig. 3

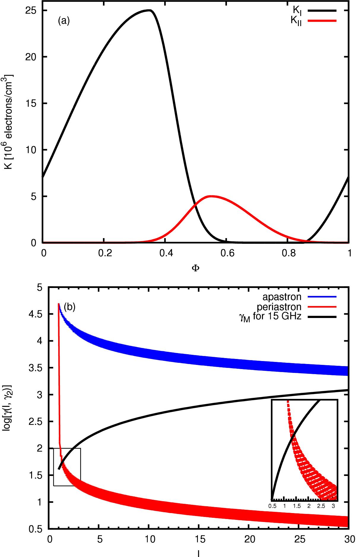
a) Orbital modulation of the electron density assumed in the model, as defined in Sect. 3.1. The two ejections are given at Φ = 0.35 and at Φ = 0.58. b) The maximum value of the Lorentz factor γ of the electrons as a function of the position l along the jet for the two ejections. The black curve is a plot of the minimum γ (Eq. (27)) necessary for the production of radio emission at 15 GHz for an initial magnetic field B0 = 5 G. The intersection point of the black curve with the red and blue lines defines the length of the jet at periastron and that of the jet towards apastron, respectively.
Current usage metrics show cumulative count of Article Views (full-text article views including HTML views, PDF and ePub downloads, according to the available data) and Abstracts Views on Vision4Press platform.
Data correspond to usage on the plateform after 2015. The current usage metrics is available 48-96 hours after online publication and is updated daily on week days.
Initial download of the metrics may take a while.